BTC/HKD-1.99%
ETH/HKD-2.29%
LTC/HKD-2.09%
ADA/HKD-4.24%
SOL/HKD-3.44%
XRP/HKD-2.94% 
來源 |?https://www.paradigm.xyz/2021/08/floor-perps/?continueFlag=2aed5c51e1e788c41fa691e7dfab022f
作者?|?Dave White(2021-08-31)
翻譯?|?zzzxwwww???? ? ? ? ? ? ? ?
編輯?| Stella
本文介紹了floor perpetual,這是一種可通過鎖定NFT來鑄造跟蹤項目地板價的合成NFT。Floor perps讓NFT持有者獲得流動性,并免受地板價波動的影響,也不需要他們放棄對NFT的所有權。
作為永久期貨「見《The Cartoon Guide to Perps》」,floor perps還為其他市場參與者提供了NFT地板價的多頭和空頭敞口。

問題

Ocelots來源:https://twitter.com/tinyatticart
想象一下,您擁有 10 只來自極受歡迎的 Awful Hot Ocelots 項目的 Ocelots。(假設)
你選擇了這些Ocelots,可能是因為你在它們身上看到了其他Ocelots所沒有的某些美學品質。雖然你的Ocelots在歷史上的交易價格都接近項目的最低價格,或者說是地板價格,但你相信隨著時間的推移,它們的價值會相對于地板價格會有所提升。
最近,地板價急劇上升,而你的Ocelots占凈資產的大部分。你喜歡它們,更不想賣掉它們,但希望有一些流動性和保護,以防止未來底價的下跌。
NFT市場Rarible聘請前Web3營銷公司Serotonin客戶主管任公關經理:金色財經消息,NFT市場Rarible已聘請前Web3營銷公司Serotonin客戶主管Jessica Graber任公關經理,將負責媒體關系和宣傳,以提高平臺的媒體影響力和品牌知名度,并支持產品和合作伙伴相關工作。Serotonin團隊由ConsenSys、Chainlink、Bridgewater Associates和General Assembly的前高管組成。(NFTGators)[2022/8/18 12:33:02]
如果你只持有一個極其稀有的Ocelot,你可以在fractional.art上把它碎片化。但是你的Ocelots還沒有被認為是那么特別,而且你懷疑如果把所有10個Ocelots碎片化并出售,你將很難獲得流動性。

https://www.paradigm.xyz/2021/08/floor-perps/?continueFlag=2aed5c51e1e788c41fa691e7dfab022f
此外,你認為自己的Ocelots相對于地板價來說太便宜了,而且不想通過出售哪怕是一小部分來放棄它們相對上升空間。
解決方案
你決定用你的Ocelots作為抵押品來創建和出售OCELOT floor perps。
例如,假設Ocelot地板價目前為20ETH,而你的Ocelots平均價格為25ETH,那么總投資組合為10*25=250ETH。
你登陸一個floor perp市場,在那里你鎖定10個Ocelots作為抵押品。然后你鑄造了10個OCELOT perps,每個價值20ETH,并將它們賣給做市商,總價為200ETH。做市商將反過來把你的perps賣給那些想接觸到Awful Hot Ocelots項目的交易者。
如果Ocelot地板價跌至10ETH,你可以以100ETH的價格買回所有perps(忽略資金),那么你收回NFT的收益為100ETH。如果你的Ocelots都下跌了10個ETH,即平均15個ETH一個,那么你現在持有的是100個ETH和一個總價值150個ETH的NFT組合,組合總價值為250個ETH,就像floor從未下降一樣。
Solana NFT平臺Snowcrash將集成Civic以遏制機器人操作問題:3月30日消息,基于Solana區塊鏈的NFT市場Snowcrash今天宣布,將集成身份驗證協議Civic,以遏制Snowcrash平臺上的機器人操作問題。Snowcrash將使用Civic Pass來專注于防止機器人垃圾郵件。(Decrypt)[2022/3/30 14:26:02]
另一方面,如果Ocelot地板價上升到30ETH,你需要用300ETH來買回perps并收回NFT,凈借入100ETH。然而,如果你的論點正確,你的NFT相對地板價格也已經上升,例如,每個65ETH,你的總頭寸現在的價值是650-100=550ETH,總收益為550-250=300ETH。

資金和清算
像所有的perps一樣,floor perps依靠資金,即多頭和空頭之間的支付資金費率機制,以便與他們的標的保持一致。
如果想做多OCELOT perps的人比想做空的人多,那么賣出perps的Ocelots持有者實際上是可以獲得收益的。因為多頭在購買perps時可以使用杠桿,會為了能夠輕松進入和退出頭寸而支付流動性溢價。
然而,如果想做空的人比做多的人多,那么空頭,包括NFT持有人,將不得不定期向多頭支付資金費率。不支付資金是Ocelot持有者被清算的唯一途徑:由于我們在下面描述的設計考慮,NFT地板價或perp價格的波動不會導致清算,除非它們導致大量的資金支付,實施者必須小心避免。
概述
有關永續期貨「perpetual futures」機制的基本指南,請參閱《The Cartoon Guide to Perps》。

詳見:https://research.paradigm.xyz/cartoon-guide-to-perps
Doodles將于今日正式發布Space Doodle NFT:2月28日消息,NFT 項目 Doodles 官方在社交媒體發文宣布將于今日正式發布 Space Doodle NFT。
此前消息,Space Doodle NFT 采用 NFT 打包技術,持有者可以通過 Doodle Bot 智能合約將自己的 Doodle NFT 打包,隨機生成的宇宙飛船將與原始 Doodle 合成為 Space Doodle NFT,用戶的原始 Doodle NFT 將托管于官方的 Space Doodles 金庫中。[2022/2/28 10:21:06]
Floor perps只是追蹤特定NFT項目地板價的標準perps,但有一些關鍵的修改,以允許NFT抵押并盡量減少NFT清算,
特別是:
除了現金外,空頭可以用被跟蹤項目的NFT來抵押他們的頭寸。
如果空頭的現金余額不足,他們需要支付實物資金(見下文)。
空頭根據指數價格而不是標記價格進行清算。
多頭的杠桿要求可以被調整以確保系統的流動性。
交易場所
像所有的perps一樣,floor perps需要一個原生場所。這可能是一個鏈外中央限價訂單簿或一個鏈上AMM。
正如Dan和Hasu指出的那樣,floor perps甚至可以用Maker DAO這樣的系統來實現。

Hasu詳見:https://twitter.com/hasufl

Dan詳見:https://twitter.com/danrobinson

DN.metaverse平臺于7月28日進行NFT作品現場拍賣:據官方消息,7月28日,DN.metaverse平臺與千畫數字藝術研究院,于深圳深業上城海涵藝術空間,聯合舉辦深圳NFT數字藝術交流酒會。交流會期間,DN.metaverse平臺進行了3份作品的現場拍賣,分別拍出5200Usdt,12000Usdt,20500的價格,總合計成交3.77萬Usdt。
據悉,DN.metaverse平臺,是一家結合線上線下藝術展覽館的NFT元宇宙交易平臺。千畫數字藝術研究院,在深圳市信息服務業區塊鏈協會和社會各界人士指導下成立。[2021/7/29 1:22:30]
Maker DAO詳見:https://makerdao.com/en/
標價價格 Mark Price
一如既往,perp的標價是其在原生交易所的價格。
指數價格 Index Price
一個perp的指數價格是它應該跟蹤的資產的價格。
在floor perp的情況下,這個價格是perp所追蹤的項目的地板價,這里的定義是市場為了獲得項目NFT但又不知道會獲得哪一個NFT時愿意支付的最高價格。
作為第一步,我們可以使用像NFTX或NFT20這樣的協議,發行同質化代幣,代表一籃子NFT的份額。用戶可以通過存入一個NFT來創建這些代幣,或者通過贖回來提取一個NFT。因此,這些同質化代幣在DEX上的價格,也許經過了流動性的調整,代表了一個與項目地板價的捆綁報價。
指數可靠性
缺乏流動性的地板NFT市場和不穩定的指數價格可能是使floor perps成為現實最大障礙的因素,因為floor perps的市場規模可能會增長到目前地板NFT市場的數倍。一個不可靠的指數可能會增加清算風險,不準確地代表抵押品的清算價值,或成為一個有吸引力的操縱目標。
為了解決這些問題,floor perp協議可能不僅要弄清楚如何更好地衡量地板價,還要弄清楚如何實際提高現貨市場中NFT市場的流動性。對于一個不斷發展的場內期權交易所來說,一種可能性是以某種方式激勵用戶參與本地現貨市場中的地板NFT交易。
超級三國上線6小時NFT交易額突破30萬美金:據官方消息,4月1日12時 NFT-STK.com正式上線HECO火幣生態鏈并開啟預售,6000個NFT預售卡包在5分鐘內售罄。上線6小時NFT交易市場交易額突破30萬美金。超級三國的無損挖礦將于4月1日晚上20時開啟。
NFT-HERO.com是專注于IP孵化的NFT發行平臺。NFT-STK.com超級三國為NFT HERO孵化的首款IP,主打集卡挖礦并即將推出創新的占領挖礦GameFi玩法。[2021/4/1 19:37:32]
資金
對floor perps的支付資金費率遵循:每個資助期,例如每天一次,多頭必須向空頭支付MARK-INDEX,很可能以ETH計價。
NFT抵押品
大多數perps都是用現金保證金抵押的。在floor perps的情況下,我們允許做空perp的人用項目的NFT來抵押他們的頭寸,而不是用現金。
為以NFT支撐的空頭提供“實物”資金
為了保證多頭在平倉時能夠獲得流動性,我們不允許以NFT支撐的空頭累積以現金計價的資金債務(盡管在某些情況下,更復雜的系統可能允許這樣做)。相反,如果空頭必須向多頭支付資金而沒有正的現金余額,系統將讓他們以額外的perps形式向多頭支付 "實物 "。
例如,想象MARK是10ETH,INDEX在交付資金費率時段是10.2ETH,所以空頭必須支付多頭INDEX-MARK=0.2ETH。想象一下,Alice做空0.5個perps,用NFT做抵押,她在系統中的現金余額為0。那么,系統將不會借給愛麗絲或清算她,而是代表她鑄造一個額外的0.01個點(因為FUNDING/MARK*pos=0.2/10*0.5=0.01),所以她現在是空頭0.51個perps。然后,它將在多頭中分配額外的多頭頭寸以代替現金支付。
在上面的例子中,如果愛麗絲已經做空了0.985個floor perps,而系統不得不代表她額外鑄幣0.01個perps,因此她現在做空0.995個perps,她將瀕臨危險,系統可能會根據其清算參數對她進行清算。這是NFT支持的空頭可以被清算的唯一方式,我們在下面進行解釋。
以NFT支撐的空頭的清算標準
想象一下,愛麗絲已經存入了 NFT q perps作為抵押品,并且做空了 perps (0<=q<=1),包括如上所述的實物資金。如果當前底價為m1,她的流動負債為qm1。例如,如果她做空 0.5 perps 并且當前標記價格是 10 ETH,則她有 5 ETH 的負債。
她的現金余額c,包括她的個人銷售收入、存款、取款和現金資金。例如,如果她最初以 10 ETH 的標記價格出售 0.5 perps,然后提取 3 ETH 并收到 0.01 ETH 的現金資金,那么她的現金余額將為 5 – 3 + 0.01 = 2.01 ETH。
她的抵押品 NFT 價值當前的指數價格i1。例如,如果當前的指數價格也是 5 ETH,那么她的一個 NFT 抵押品價值為 5 ETH
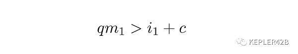
在標準的 perp 公式中,如果愛麗絲的負債超過她的抵押品和現金,即如果:

在這種情況下,Alice 可以在標記上升m1到足夠高的任何時候被清算。這在我們的案例中是不可取的,因為我們希望 NFT 持有者失去他們的 NFT 的風險盡可能小。
因此,我們不是根據標記價格m1對愛麗絲進行清算,而是使用當前指數價格i1。那么愛麗絲在這種情況下清算::

如上所述,我們從不允許愛麗絲的現金余額c為負,因此愛麗絲只能在以下情況q > 1;或者如上所述,如果實物資金迫使愛麗絲的空頭頭寸規模超過她擁有的 NFT 數量抵押品。
如果指數和標價之間沒有出現極端的分歧(這取決于執行情況),這應該是一個罕見的和可預見的事件,如果有必要,給愛麗絲足夠的時間來重新抵押她的賬戶。
當然,這種設計選擇涉及到一個權衡:如果在NFT支持的空頭被清算時,標價高于指數價格,這些清算的收益可能發生在指數價格或是低于指數價格的時候,這可能不足以支付空頭的義務,而這些義務是以標價計價的,因此多頭將無法得到他們所欠的所有款項。
只有當標價遠遠高于指數價格時,才會出現重大的差異,而這在一個完善的系統中應該是比較少見的情況。這是因為,正如《Everlasting Options》一文中所展示的,一個永久的期貨通過無套利等同于一籃子到期的期貨,而這些期貨本身通過無套利等同于一籃子債券和實物NFT。

https://www.paradigm.xyz/2021/05/everlasting-options/
不管怎么說,如果這種權衡帶來的風險太大,可以以增加NFT清算的風險為代價取消這一功能。
清算以NFT為支撐的空頭
如果以NFT為支撐的空頭確實必須被清算,他們的NFT將被拍賣,所得款項用于買回他們的空頭頭寸,任何超額部分將返還給NFT的原始持有人。
通過使用fractional.art這樣的服務出售NFT的一部分來執行部分清算也是可能的。

https://fractional.art/
自愿清算
在某些情況下,一個項目的底價可能已經上漲了很多,以至于由NFT支持的空頭缺乏資金來回購他們的perps和贖回NFT。在這種情況下,空頭可能會觸發 "自愿清算拍賣",可能涉及部分出售,以彌補他們的債務并收回超額部分。由于沒有破產的風險,這種拍賣可能比典型的清算拍賣有更寬松的參數。
流動性和動態抵押要求
允許空頭用NFT而不是現金來抵押他們的頭寸,在某些情況下會使系統面臨流動性問題。
例如,設想愛麗絲用一個NFT作為抵押品賣出一個perp,鮑勃以1ETH的價格買入。然后perp的價格跳升至6ETH。鮑勃準備從他的多頭中獲取5個ETH的利潤,而查理也想買入。
現在,如果協議允許查理以2倍的杠桿購買,他只需要存入3個ETH。然而,即使愛麗絲沒有從她的原始銷售中提取任何ETH,查理的3個ETH存款加上系統中已有的1個ETH,加起來只有4個ETH,不足以讓鮑勃從他的銷售中獲得5個ETH的利潤。
因此,只要系統資本不足,我們就會提高對新買家的抵押品要求,以確保賣家有足夠的流動性。
最基本的方法是要求買家在系統資本不足的時候為他們的購買提供全額抵押。例如,在上述情況下,這意味著查理必須支付整整6個ETH來建立一個多頭頭寸,這樣一來,系統中總共有7個ETH,鮑勃可以索取他的全部5個ETH利潤。
更復雜的方案是可能的,而且可能提供更好的用戶體驗。例如,系統可能會隨著資本化程度的降低而逐漸提高抵押品要求,而不是突然切換。
如上所述,最重要的問題是指標的可靠性和現貨NFT交易的流動性。如果有好的解決方案,那么可能性是無窮的。
例如,如果我們能找到一個合適的指數,我們就可以不僅為一個項目的地板價,而是為包含某種屬性或屬性組合的NFT創造永久的市場。我們甚至可以將NFT拆分為代表其組成部分的合成物,并將其重新組合成代表某些論題的新合成物。
核心清算機制也可用于其他產品,如以NFT支撐的即時貸款。當然,這個框架也可以稍加調整,在地板NFT交易市場中提供永久的覆蓋性看漲期權。

https://www.paradigm.xyz/2021/05/everlasting-options
Tags:NFTPERPERPETHxNFT ProtocolSUPERPOOShibarium PerpetualsTogetherBNB和娜娜互動
風險投資基金、對沖基金、流動性提供者等聰明投資者正在DeFi、NFT、Web3、Metaverse各個領域下注投資。知道最受加密基金歡迎的代幣也許對普通投資者投資決策有所幫助.
1900/1/1 0:00:00從性能到生態競爭,公鏈賽道可謂是百家爭鳴。而無論是從以往的DApp,還是如今的DeFi和NFT,以太坊都承載著大部分資金和資源,占據著絕對的主導地位.
1900/1/1 0:00:00今天帶來第三個優質空投(Betafinance)(官方已確定有空投) Beta Finance 是一種協議,它使 DeFi 用戶能夠訪問一個可擴展且可訪問的貨幣市場.
1900/1/1 0:00:00撰文:PAKA Labs研究員 MIDDLE.XReviewed : Shawn Lin 林曉( 文中部分內容翻譯自?RMRK官方博客?)1990年12月25日.
1900/1/1 0:00:00經歷過短暫的沉寂后,NFT 再度變得火熱起來。據 Dune Analystic 數據顯示,在 2021 年 3 月第一波 NFT 熱潮過后,全球最大的 NFT 交易平臺 OpenSea 月度交易.
1900/1/1 0:00:00雖然 Filecoin 主網上線僅9個月,但目前Filecoin網絡上已有超過2700名活躍礦工,共同貢獻了超過8 EiB的存儲容量.
1900/1/1 0:00:00