BTC/HKD-6.33%
ETH/HKD-4.23%
LTC/HKD-3.94%
ADA/HKD-5.11%
SOL/HKD-3.62%
XRP/HKD-11.71%我們根據多個交易所的限價指令薄數據構建了一種比特幣市場整體情況指標,借此來揭示市場整體深度情況,并采用貝葉斯統計來推斷支撐位和阻力位的位置。
交易所的選擇參考了BitMEX指數和Deribit的BTC-USD指數獲取數據源,采用了Binance、Bitstamp、Bittrex、Coinbase Pro、Gemini、Huobi、Kraken和OKEx交易所的比特幣現貨數據,并將其掛單量的單位統一為美元,以便比較。
一、聚合后的限價指令薄
下圖為2021.2.1 18:03左右時,各交易所聚合后的高于1萬美元的掛單情況:

圖1 高于1萬美元的掛單情況
由上圖可知,此刻Kraken和Coinbase Pro的買價高于Binance、Huobi和OKEx的賣價。實際上,有時部分交易所的買價高于其他交易所的賣價的程度較大,這便提供了一定的套利機會。

圖2 高于50萬美元的掛單情況
上圖展示了比特幣現貨市場高于50萬美元的掛單情況,不同價位的掛單量是由各個交易所的數據聚合而來的。例如,34700賣價上有價值83萬美元的比特幣出售,這是由OKEx、Kraken和Binance這3家交易所的掛單所組成的。

DWF Labs向OKX轉入10萬枚LADYS疑似為進行測試:5月15日消息,據 Lookonchain 監測,DWF Labs 向 OKX 轉入價值僅為 1 美分左右的 10 萬枚 LADYS,Lookonchain 表示此舉或為向交易所正常轉入代幣前的測試。[2023/5/15 15:04:03]
圖3 高于200萬美元的掛單情況
上圖只選擇顯示高于200萬美元的掛單,可見在33500美元至38500美元之間各有一些大額掛單,其金額大致相當,若進一步分析這些掛單的分布情況,我們還能得出更多的結論。

圖4 高于500萬美元的掛單情況
上圖只選擇顯示高于500萬美元的掛單。有意思的是,有部分報價大幅偏離當前價格的賣單長期存在于某些交易所中,而這樣的掛單一般不納入到我們的分析之中。

圖5 市場整體多空力量對比
上圖給出了不同價格區間下,市場整體多空力量對比情況。由此可知,此刻買方的大額掛單總量略大于賣方,不過這樣的結論作為指標值也只適合在震蕩行情中進行選用。
二、貝葉斯統計在比特幣支撐位和阻力位判定中的應用
在交易中,人們一般基于經驗來判斷某個價位是否是支撐位或阻力位。在限價指令薄中看見各價位的掛單量時,很自然地就瞬間對比出哪些價位的掛單量大于其他價位,且數值有明顯的不同之處,屬于支撐位或阻力位。
人腦對此的判斷迅速準確,但要問起判斷依據,其回答通常是“感覺到是這樣”,然后就得出了正確結論。若對此進行一番分析,我們可以指出做出這樣的判斷至少經歷了以下4個步驟:(1)人腦對以往的支撐位/阻力位的掛單量有印象,能夠以此為經驗來考量新的掛單量是否達到相應的量級;(2)人腦對近期的行情表現有印象,清楚市場交易是屬于清淡還是火熱狀態,對心目中支撐位/阻力位的合理掛單量進行了相應的調整;(3)在看見限價指令薄的一瞬間,就能立即鎖定幾個大額掛單作為支撐位/阻力位的備選項;(4)迅速判斷出備選的幾個大額掛單在量級上的差異,從而確定支撐位/阻力位。
Berenberg:對MSTR給予買入評級和430美元的目標價:金色財經報道,Berenberg 在周四的一份報告中表示,MicroStrategy (MSTR) 在上市公司中處于獨特地位,可以從比特幣 (BTC) 價格上漲中獲益。Berenberg 對該股給予買入評級和 430 美元的目標價。該報告稱,MicroStrategy 股票為投資者提供了一種“有吸引力的方式來接觸比特幣,并在持續的監管打擊中駕馭數字資產領域,相對于其他加密代幣,比特幣已成為避風港,如果投資者在與宏觀相關的擔憂中越來越多地轉向比特幣作為替代貨幣,那么 MicroStrategy 股票將受益匪淺。計劃于 2024 年 5 月進行的第四次比特幣減半可能會成為 BTC 價格的積極催化劑,進而對 MicroStrategy 股票也起到積極作用。截止發稿,MSTR在盤前交易中下跌約 2% 至 312 美元。[2023/4/28 14:33:10]
在量化交易中,我們不可能人工對支撐位/阻力位進行一一標記,只能交給程序來進行相關判斷。使用平均值法或移動平均法似乎能簡單地解決標記問題,但其適應性和“智能性”還有一定的欠缺。因此,我們使用貝葉斯統計來判定支撐位和阻力位。
在進行正式的介紹之前,先以一個不太嚴謹的例子來介紹貝葉斯統計:
一個原始人始終在地下洞穴中生活,某天他偶然來到了地面。他不確定太陽是否每天都會升起,于是先按照自己的經驗提出假設,然后再進行觀測。若他假設太陽每日都會升起,而每天的觀測數據也證實了太陽升起這一事件,那么他便可以得出太陽每天都會升起的結論;相反,若他假設太陽不會升起,而每天的觀測數據與他的假設不同,基于實驗數據推翻了假設,也會得出相同的正確結論——只不過這位原始人為了更有把握,可能較前一種情況觀測得更久一些。
迪拜官員:正與香港商討虛擬資產領域合作:4月20日消息,迪拜經濟和旅游部執行長Hadi Badri在接受專訪時表示,內地已經成為阿聯酋最大貿易伙伴,香港亦是重要貿易伙伴之一,認為雙方關系緊密,阿聯酋已成為中國進入中東市場的門戶。
他指出,雙方可以在貿易、投資、數碼轉型和金融服務等方面合作,并透露迪拜正與香港商討在虛擬資產領域的合作,包括牌照通行證計劃。他認為香港在虛擬資產監管的態度積極,但未有透露有關合作的推進時間表。(香港電臺網站)[2023/4/20 14:15:28]
這其實就是貝葉斯統計所蘊含的思想——不管假設(先驗概率)如何,通過觀測數據來修正假設,最終得出符合觀測事實的結論(后驗概率)。這也類似于人類在科學探索中提出假設,進行實驗觀測,得出最終結論的方式。可見,從這個意義上來講,貝葉斯統計與人類的思考和探索方式是具有一致性的。
1、貝葉斯統計方法
統計學中有兩個主要的學派,頻率學派和貝葉斯學派。他們之間既有共同點, 又有不同點。
基于總體信息和樣本信息進行的統計推斷被稱為經典統計學,它的基本觀點是把數據(樣本)看成是來自具有一定概率分布的總體,所研究的對象是這個總體,而不局限于數據本身。二十世紀下半葉,經典統計學在工業、農業、醫學、經濟、管理、軍事等領域獲得廣泛的應用。這些領域中又不斷提出新的統計問題,這又促進了經典統計學的發展。隨著經典統計學的持續發展和廣泛應用,它本身的缺陷也暴露出來。
統計推斷中,除了上面提到的總體信息和樣本信息外,在周圍還存在著第三種信息——先驗信息,即在抽樣之前有關統計問題的一些信息,主要來源于經驗和歷史資料,它也可以用于統計推斷。
基于總體信息、樣本信息和先驗信息進行的統計推斷稱為貝葉斯統計學。它與經典統計學的主要區別在于是否利用先驗信息。在使用樣本信息上也是有差異的。貝葉斯學派注重已出現的樣本觀察值,而對尚未發生的樣本觀察值不予考慮;貝葉斯學派很重視先驗信息的收集、挖掘和加工,使它數量化,形成先驗分布,參加到統計推斷中來,以提高統計推斷的質量。忽視先驗信息的利用,有時是一種浪費,有時還會導致不合理的結論。
元宇宙相關加密資產總市值超110.67億美元:金色財經報道,據coinmarketcap數據顯示,元宇宙相關加密資產總市值超110.67億美元,24小時跌幅為2.01%,24小時交易額約11.25億美元。當前市值排名前五的元宇宙通證分別是:ApeCoin(17.33億美元)、TheSandbox(13.05億美元)、Decentraland(13.01億美元)、THETA(10.96億美元)、AxieInfinity(10.44億美元)、和EnjinCoin(4.66億美元)。[2022/9/26 7:20:48]
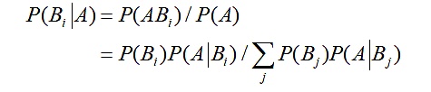
2、貝葉斯公式
在全概率公式的假定下,有

這個公式就叫做貝葉斯公式,是概率論中一個著名的公式。這個公式首先出現在英國學者T·貝葉斯(1702-1761)去世后的1763年的一項著作中。

3、先驗分布的確定
貝葉斯統計中要使用先驗信息,而先驗信息主要是指經驗和歷史資料。因此如何用人們的經驗和過去的歷史資料確定概率和先驗分布是貝葉斯學派要研究的問題之一。
在經典統計中,概率是用非負性、正則性和可加性三條公理定義的。概率的確定方法主要是兩種。一是古典方法(包括幾何方法),另一種是頻率方法。實際中大量使用的是頻率方法,所以經典統計的研究對象是能大量重復的隨機現象,不是這類隨機現象就不能用頻率的方法去確定其有關事件的頻率。這無疑就把統計學的應用和研究領域縮小了。譬如,很多經濟現象都是不能重復或不能大量重復的隨機現象,在這類隨機現象中要用頻率方法去確定有關事件的概率常常是不可能的或很難實現的。
預訂網站XcelTrip接受BTC等9種數字貨幣作為支付方式:5月29日消息,去中心化機票和酒店預訂網站XcelTrip接受BTC、ETH、USDT等9種數字貨幣作為支付方式。(Coin Quora)[2022/5/30 3:49:21]
貝葉斯學派是完全同意概率的公理化定義的,但認為概率也可以用經驗確定, 這是與人們的實踐活動一致的。這就可以使不能重復或不能大量重復的隨機現象也可談及概率。同時也使人們積累的豐富經驗得以概括和應用。貝葉斯學派認為一個事件的概率是人們根據經驗對該事件發生可能性所給出的個人信念,這樣給出的概率稱為主觀概率。對于先驗分布的確定,可以利用先驗信息或者邊緣密度。而對于沒有先驗信息的情況下確定先驗分布,許多統計學家對這個問題進行了研究,至今已經提出了多種無信息先驗分布,例如,貝葉斯假設。
4、似然函數



5、后驗分布的計算
(1)貝葉斯公式的密度函數形式


(2)貝葉斯公式的離散形式

上面給出了貝葉斯公式的密度函數形式和離散形式,亦即后驗分布的計算公式。而更具有普適性的,進一步包含了不可觀測的狀態變量和多個參量的后驗分布計算公式在這里就不再贅述了。
6、貝葉斯統計在比特幣支撐位和阻力位判定中的應用

(1)備選大額掛單數據的保存
我們在數據庫中保存初步篩選的大額掛單,取一定的時間間隔,對最新的時間間隔的這些掛單數據進行統計分析。篩選條件和時間間隔的大小是根據特定的模型決定的,這里不做特別的指定。
(2)先驗分布
我們的先驗分布有三個。
第一個是均勻分布,其隨機變量用mu表示,均勻分布的上界和下界分別為上述保存的大額掛單的最大值和最小值,故取其中任意一個數值的概率是相同的。這樣,此區間的任意一個數值都有同樣的機會被選中,這就在模型中減弱了主觀因素的影響。
第二個是半正態分布,其隨機變量用sigma表示,其標準差根據特定的模型決定,可根據實際情況調整。采用半正態分布的原因是這些大額掛單都是正數。
第三個是一個均值較小的指數分布,其隨機變量用nu表示。這同樣是一個很弱的先驗。
(3)似然函數
我們用t分布而非正態分布來描述似然函數。t分布的三個參數:均值、尺度(與標準差類似)和自由度分別為mu、sigma和nu。t分布常常用于對呈正態分布的總體的均值進行估計,其峰度比標準正態分布低,尾部比標準正態分布厚。t分布并不像高斯分布那樣聚集在均值附近,它希望看到在偏離數據中心的兩個方向上都有數據,因此可運用其來解決異常值。在本文的模型中,與正態分布相比,t分布的估計值更魯棒。
而限于篇幅,我們將不再詳細介紹邊緣分布。
(4)統計分析
以2021.2.4 19:40為例,我們對本模型并行運行4次,對同一個參數獲得4條并行的跡。

圖6 收斂效果
由上圖可知,后驗分布中的參數mu、sigma和nu均已收斂。我們同時采用Gelman-Rubin檢驗來判斷收斂情況,該檢驗的思想是比較不同跡之間的差異和跡內部的差異,如果得到的值低于1.1,則可以認為相應的參數已經收斂。經過計算,mu、sigma和nu在此檢驗下的值分別為1.02、1.02和1.01,故應視為收斂。
我們獲得后驗分布的參數的貝葉斯估計如下:

圖7 后驗分布的參數的貝葉斯估計
我們比較關心的是mu的情況。觀察第2行,HDI是一個概率,由后驗分布觀測新數據形成,97%的HDI給出了97%的最可信的值,我們取其為合格支撐位/阻力位應滿足的掛單量限制,其數值為401.8萬美元。
在此限制下,便可得到合格的支撐位和阻力位:

圖8 支撐位和阻力位
如上圖所示,在此時刻無合格的支撐位,有3個價格分別為38000,38500,38730美元的阻力位。偏離合理價格過大的阻力位不納入到分析之中。
而根據經驗,最近一段時間的支撐位/阻力位的下限隨行情的變化在200-800萬美元之間變動。由于現貨不能像期貨一樣使用高倍杠桿,在此范圍內的掛單量就已經比較巨大了。
三、結論與討論
本文采用貝葉斯統計對比特幣的支撐位和阻力位進行了判定。在此問題的處理上也可采用更為簡單的平均值法和移動平均法,但其適應性和“智能性”與本文所用的方法相比會有一定的欠缺;也有更加復雜的方法可對此問題進行討論,而與之相比本文的模型簡單、易于理解、計算便捷,具有一定的優勢。
在有條件的情況下,可以嘗試采用此法作為量化指標來運行交易程序。需要注意的是,支撐位和阻力位的判定一般在震蕩行情的交易中才略有效果,在實際交易中還應結合其他指標一起運行,以便控制風險。
參考文獻
任楓. 非對稱雙指數跳躍擴散模型的貝葉斯分析. 天津大學碩士學位論文, 2007. 22-24
陳希孺. 概率論與數理統計. 合肥:中國科學技術大學出版社, 2016. 32-150
Tags:比特幣STRBEROIN比特幣行情最新價格今日價格AstroElonliberty幣1967VerusCoin
知識鴻溝(Knowledge Gap)理論是美國明尼蘇達州立大學的菲利普·蒂奇納等人在1970年提出并經過一系列實證研究建立的一種理論假設,其主要推斷是.
1900/1/1 0:00:002020 年 9 月 2 日凌晨,英偉達創始人兼 CEO 黃仁勛從背后的廚房拿出了 RTX 3080,并正式宣布推出基于安培架構的「GeForce RTX 30 系列」顯卡.
1900/1/1 0:00:00自比特幣的價值開始為世人所認識到之后,就已經開始有不斷的基于比特幣產品的系列的創新。以太坊是比特幣之后的下一個里程碑式的產品.
1900/1/1 0:00:00狂人本著負責,專注,誠懇的態度用心寫每一篇分析文章,特點鮮明,不做作,不浮夸!本內容中的信息及數據來源于公開可獲得資料,力求準確可靠,但對信息的準確性及完整性不做任何保證,本內容不構成投資建議.
1900/1/1 0:00:00朋友來電話,對我哭訴:他借貸挖礦正不亦樂乎的時候。三天在外忙,沒有打開平臺看,發現自己已經被清算了.
1900/1/1 0:00:00熟悉我的朋友都知道,尤其是這么幾年下來一直看我內容的朋友應該更清楚我有一個固定的觀點,就是不管你是多小的散戶,都應該買點比特幣。但是現在我發現,似乎買比特幣對于“小散戶”的確意義不大了.
1900/1/1 0:00:00