BTC/HKD-0.13%
ETH/HKD-0.24%
LTC/HKD+0.89%
ADA/HKD-0.22%
SOL/HKD-0.07%
XRP/HKD+0.36%編者注:原標題為《詳解Uniswap的ERC777重入風險》
前言
據媒體消息,4月18日,Tokenlon宣布暫停imBTC轉賬,因其發現有攻擊者通過ERC777在Uniswap流動性合約中的重入漏洞,對ETH-imBTC池循環套利。此次的攻擊手法是一個存在于Uniswapv1上的已知漏洞,該漏洞最早由Consensys于2019年4月發現,當時Consensys只是發現了該風險,還沒有發現可以利用這種手法進行攻擊的token。隨后,在imBTC上線Uniswap后,由于imBTC是基于ERC777實現的,通過組合ERC777的特性及Uniswap代碼上的問題,使攻擊者可以通過重入漏洞實現套利。下面,我們將來分析此次套利中的攻擊手法和具體的細節。
知識準備
ERC777協議是以太坊上的代幣標準協議,該協議是以太坊上ERC20協議的改進版,主要的改進點如下:
1、使用和發送以太相同的理念發送token,方法為:send(dest,value,data)
2、合約和普通地址都可以通過注冊tokensToSendhook函數來控制和拒絕發送哪些token
Uniswap V3流動性挖礦協議Izumi完成350萬美元A輪融資,Mirana Ventures等參投:12月9日消息,在Uniswap V3上提供可編程流動性挖礦的創新協議izumi已完成350萬美元A輪融資,其融資總額達560萬美元。A輪融資參投方包括Mirana Ventures、IOSG、Cadenza、Fenbushi Capital、EVG、Hashkey、GSR、CyberX、Bixin、WOO Network、Dorahacks、Gate Labs、MEXC以及來自Nansen、Perp、Chainlink、Babel的個人投資者。最近融資資金將用于促進izumi的原生代幣iZi發布。iZi將于12月20日發布,緊接著將于12月21日發布izumi“LiquidBox”平臺。
據此前報道,Izumi Finance宣布已成功完成60萬美元的第一輪融資,多家風投參與投資,包括Everest Ventures Group、Youbi Capital、Tess Ventures、LucidBlue Ventures、Puzzle Ventures、WolfEdge、ICG、Adaptive Lab、Nothing Research等。Izumi Finance v3 NFT Mining提供帶有Uniswap v3 NFT的流動性挖礦 (LM)協議,使用戶能夠質押Uniswap V3 LP代幣以獲得額外獎勵。 (TheNewscrypto)[2021/12/10 7:29:22]
3、合約和普通地址都可以通過注冊tokensReceivedhook函數來控制和拒絕接受哪些token
數據:Uniswap V3自動化流動性協議的收益并未優于普通LP:11月11日消息,Bancor增長負責人Nate Hindman在推特上表示,他們在分析了2.4萬個為Uniswap V3提供流動性的錢包的凈收益情況后發現,UniswapV3生態的LP自動化協議的收益情況并沒有比不頻繁操作的LP(LazyLP)收益更好,約50%的錢包在Uniswap V3提供流動性后產生了虧損。[2021/11/11 21:43:50]
4、tokensReceived可以通過hook函數可以做到在一個交易里完成發送代幣和通知合約接受代幣,而不像ERC20必須通過兩次調用來完成
5、持有者可以"授權"和"撤銷"操作員?這些操作員通常是交易所、支票處理機或自動支付系統
6、每個代幣交易都包含data和operatorData字段,可以分別傳遞來自持有者和操作員的數據
7、可以通過部署實現tokensReceived的代理合約來兼容沒有實現tokensReceived函數的地址
在這里,我們需要特別關注的點是第二點,即ERC777標準中的tokenToSend函數,根據ERC777協議的定義,遵循該標準的token代幣在每一次發生代幣轉賬的時候都會去嘗試調用代幣發送者tokensToSend函數,而代幣持有者可以通過在ERC1820注冊合約注冊自己的合約并通過在這個hook函數中定義一些操作來處理代幣轉賬的過程中的某些流程,如拒絕代幣發送或其他操作。
UNI突破35美元關口 日內漲幅為2.72%:火幣全球站數據顯示,UNI短線上漲,突破35美元關口,現報35.003美元,日內漲幅達到2.72%,行情波動較大,請做好風險控制。[2021/3/23 19:09:52]
了解這些關鍵點,有助于我們理解這次攻擊的具體攻擊手法。現在開始,我們可以稍微加速,看看對于Uniswap而言,這次到底發生了什么?
細節分析
通過Etherscan查詢攻擊者的其中一筆交易?0x32c83905db61047834f29385ff8ce8cb6f3d24f97e24e6101d8301619efee96e

可以發現,攻擊者兩度向Uniswap合約轉帳imBTC,金額同樣是0.00823084,然后從Uniswap收取了兩筆ETH,看上去似乎是十分正常的兩筆交易,實際上卻是暗流涌動,另有玄機。為了更好的了解整一筆交易的細節,我們需要通過bloxy.info來查看交易的具體細節。
UNI跌破20美元關口 日內跌幅為6.57%:火幣全球站數據顯示,UNI短線下跌,跌破20美元關口,現報19.998美元,日內跌幅達到6.57%,行情波動較大,請做好風險控制。[2021/2/6 19:03:15]

通過查詢交易的細節,我們發現,攻擊者首先是通過ethToTokenSwapInput函數向Uniswap兌換了一些imBTC,然后再通過tokenToEthSwapInput函數開始第一次用imBTC換取ETH,然后Uniswap先將ETH轉給了攻擊者,再調用imBTC的transferFrom函數,由于imBTC實現了ERC777標準,所以在調用imBTC的trasferFrom函數的時候,imBTC會對攻擊者的tokensToSend函數進行調用。隨后,在攻擊者的tokensToSend函數中,攻擊者會進行第二次用imBTC換取ETH,然后流程結束。
從交易細節上看,這里似乎還是沒有什么問題,我們繼續跟蹤UniSwap的代碼。
DEX市場上半年增長迅猛 Uniswap支持資產總量超IDEX、0x之和:7月13日,伴隨著DEX市場升溫,去中心化交易所競爭格局開始凸顯,數據顯示,Uniswap交易平臺支持資產最多,數量在2800種以上。相比之下,位列第二、三位的IDEX和0x所支持的資產總量分別為1184、640種,兩者總和不及Uniswap。[2020/7/13]

上面是代碼是Uniswap的ethToTokenSwapInput函數的代碼,根據代碼分析,Uniswap的ethToTokenSwapInput函數會調用ethToTokenInput函數,然后會先通過getInputPrice獲取代幣能換取的eth數量,之后通過send函數將eth發給用戶,最后再通過transferFrom把代幣轉進合約。我們繼續跟進getInputPrice函數。

通過分析getInputPrice函數,我們能知道,ETH獲取量計算的公式為

把該公式放到ethToTokenInput函數的上下文中,該公式就變成了

在該公式下,一次正常的imBTC兌換ETH的過程中,作為分母的imBTC儲備量在兌換過后應該要上升,對應的ETH儲備量會變小。

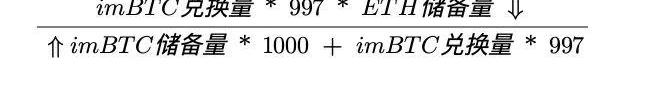
但是回顧攻擊者的操作方式,在攻擊者第一次發送imBTC兌換ETH的過程中,Uniswap會先發送ETH給攻擊者,這時候Uniswap中ETH儲備量減少,然后Uniswap調用transferFrom函數,(注意此時還未將攻擊者的imBTC扣除),緊接著在transferFrom函數中攻擊者調用的第二次的ethToTokenSwapInput時,通過getInputPrice獲取兌換的ETH數量的公式會變成這樣:

注意看,在第二次的兌換計算中,只有ETH的儲備量變少了,而imBTC的儲備量并未增加,這導致相比與單獨的調用ethToTokenSwapInput函數,攻擊者可以通過重入的方式,在第二次使用imBTC兌換ETH的過程中,使計算公式的分子發生了變化,而公式的分母不會發生變化。相比正常的兌換,攻擊者通過重入方式進行的第二次兌換會獲取微小的利潤,導致有利可圖。重復這樣的過程,就能通過等量的imBTC獲取更多的ETH,導致Uniswap做事商的損失。
防御方法
在Uniswap的tokenToEthSwapInput函數中加入OpenZeppelin的ReentrancyGuard函數,防止重入問題。
在進行代幣交換的時候,先扣除用戶的代幣,再將ETH發送給用戶。
同時,針對本次攻擊事件慢霧安全團隊建議:
在關鍵的業務操作方法中加入鎖機制,如:OpenZeppelin的ReentrancyGuard
開發合約的時候采用先更改本合約的變量,再進行外部調用的編寫風格
項目上線前請優秀的第三方安全團隊進行全面的安全審計,盡可能的發現潛在的安全問題
多個合約進行對接的時候也需要對多方合約進行代碼安全和業務安全的把關,全面考慮各種業務場景相結合下的安全問題
合約盡可能的設置暫停開關,在出現“黑天鵝”事件的時候能夠及時發現并止損
安全是動態的,各個項目方也需要及時捕獲可能與自身項目相關的威脅情報,及時排查潛在的安全風險
最后的思考
這兩天的DeFi世界被鬧得沸沸揚揚,imBTC作為ERC777代幣首當其沖,ERC777協議也飽受詬病,但是看完分析,造成此次的攻擊事件原因,真的是imBTC或者是ERC777協議的問題嗎?
如果Uniswap做好了ERC777的兼容,使用ReentrancyGuard,并在代幣交換的時候先扣除用戶的代幣,再將ETH發送給用戶,這樣的問題是不是就不會發生?
imBTC作為以太坊上token化的比特幣代幣協議,其安全性在自身單獨運行的時候并不存在問題,第三方DeFi平臺在接入的時候,應需要充分考慮平臺本身的業務邏輯與接入代幣之間的兼容性,才能避免因兼容性發生不必要的安全問題。而不是簡單的將問題歸咎于協議和代幣提供方。
Tags:SWAPUNIUniswapETHuniswap幣總量有多少Unicly CryptoPunks Collectionuniswapwallet教程XETH價格
巴比特訊,4月25日上午,區塊鏈服務網絡商用啟動大會在北京舉行。本次大會由國家信息中心主辦,中國移動、中國銀聯、區塊鏈服務網絡發展聯盟共同協辦.
1900/1/1 0:00:00文:李小加 來源:新浪財經 在智能時代,數據將成為驅動技術革命和重新定義人類社會未來的新動力。中央近期出臺了《關于構建更加完善的要素市場化配置體制機制的意見》,首次明確將數據納入生產要素.
1900/1/1 0:00:00本文來源:人人都是產品經理作者:北漠,微信:beimo0627本文以某互金集團為具體實例進行展開,看區塊鏈如何助推集權化企業集團管理模式.
1900/1/1 0:00:00短短一個月時間,美聯儲就向市場投放了11萬億資金,未來幾個月內,將達到28萬億。這筆錢,相當于美國全年GDP的20%,相當于中國全年GDP的30%.
1900/1/1 0:00:00央行數字貨幣再度呼之欲出!4月15日,網傳中國人民銀行主導開發的央行數字貨幣DCEP已在中國農業銀行開始內部測試。一張內測錢包截圖確證了外界央行數字貨幣將在四大行首先測試推出的猜測.
1900/1/1 0:00:00作者:dean 翻譯&校對:裴奇&阿劍 來源:以太坊愛好者 如果你一直在研究以太坊或者相關的技術,你可能聽說過discv4或discv5.
1900/1/1 0:00:00