 BTC/HKD+2.1%
BTC/HKD+2.1% ETH/HKD+1.93%
ETH/HKD+1.93% LTC/HKD+2.27%
LTC/HKD+2.27% ADA/HKD+1.57%
ADA/HKD+1.57% SOL/HKD+0.92%
SOL/HKD+0.92% XRP/HKD+1.32%
XRP/HKD+1.32%2022年4月17日,成都鏈安鏈必應-區塊鏈安全態勢感知平臺輿情監測顯示,算法穩定幣項目BeanstalkFarms遭黑客攻擊,黑客獲利近8000萬美元,成都鏈安技術團隊第一時間對事件進行了分析,結果如下。
1事件相關信息
攻擊交易
0xcd314668aaa9bbfebaf1a0bd2b6553d01dd58899c508d4729fa7311dc5d33ad7
攻擊者地址
0x1c5dcdd006ea78a7e4783f9e6021c32935a10fb4
攻擊合約
0x79224bC0bf70EC34F0ef56ed8251619499a59dEf
被攻擊合約
Themis Protocol遭受預言機操縱攻擊,黑客獲利約37萬美元:6月28日消息, DeFi協議Themis Protocol發推確認協議被利用,暫停借貸功能,稱目前第一個選擇是嘗試與黑客合作取回資金,若黑客不愿意合作將與當局合作解決,目前正在制定補償計劃。
據ChainAegis安全監測顯示,Themis Protocol遭受預言機操縱攻擊,攻擊者竊取了37萬美元。[2023/6/28 22:05:10]
0xc1e088fc1323b20bcbee9bd1b9fc9546db5624c5
2攻擊流程
1.攻擊者從攻擊的前一天發起了提案交易,提案通過會提取Beanstalk:BeanstalkProtocol合約中的資金。
   
安全團隊:BNBChain上加密項目ORT被利用,黑客獲利約7萬美元:金色財經報道,據區塊鏈安全審計公司Beosin監測顯示,BNBChain上的加密項目ORT被利用,黑客獲利約7萬美元。
其中黑客首先調用INVEST函數,這個函數會調用_Check_reward函數來計算用戶的獎勵,但是黑客的duration變量為0,所以會直接返回total_percent變量作為reward參數,然后黑客調用withdraw And Claim函數提取獎勵,獲取total_percent數量的ORT代幣,重復上述步驟獲利。[2023/1/17 11:16:00]
2.黑客通過閃電貸換取了350,000,000個DAI,500,000,000個USDC,150,000,000個USDT,32,100,950個BEAN和11,643,065個LUSD作為資金儲備。
派盾:Deus Finance再次遭到攻擊,黑客獲利約1340萬美元:金色財經消息,派盾(PeckShield)在Twitter上表示,多鏈衍生品協議Deus Finance目前被監控到在Fantom網絡上遭黑客攻擊,黑客獲利約1340萬美元。
此前3月15日報道,派盾在社交媒體上提醒,Deus Finance目前被監控到在Fantom網絡上遭黑客攻擊,黑客共計盜走20萬枚DAI和1101.8枚ETH。[2022/4/28 2:36:36]
   
3.黑客將2步驟的DAI,USDC,USDT資金在Curve.fiDAI/USDC/USDT交易池中添加為979,691,328個3Crv流動性代幣,用15,000,000個3Crv換來15,251,318個LUSD。
Visor Finance攻擊事件報告:黑客獲取了管理帳戶訪問權限:基于Uniswap V3的DeFi流動性協議Visor Finance就此前發生的攻擊事件發布報告稱,攻擊者獲得了一個管理帳戶的訪問權限,能夠從尚未存入流動性提供者頭寸的存款中提取資金。報告稱,被盜金額約占其300萬美元TVL的16.7%(約合50萬美元),并證實該黑客并非團隊成員,因此對其緊急提款保障措施缺乏充分了解,被盜資金僅限于未配置的資產。(BeInCrypto)[2021/6/21 23:53:12]
   
   
4.將964,691,328個3Crv代幣兌換為795,425,740個BEAN3CRV-f用于投票,將32,100,950個BEAN和26,894,383LUSD添加流動性得到58,924,887個BEANLUSD-f流動性代幣。
   
   
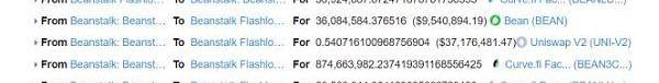
5.使用4步驟中的BEAN3CRV-f和BEANLUSD-f來對提案進行投票,導致提案通過。從而Beanstalk:BeanstalkProtocol合約向攻擊合約轉入了36,084,584個BEAN,0.54個UNI-V2,874,663,982個BEAN3CRV-f以及60,562,844個BEANLUSD-f。
   
6.最后攻擊者將流動性移除并歸還閃電貸,把多余的代幣兌換為24830個ETH轉入攻擊者賬戶中。
   
   
3漏洞分析
本次攻擊主要利用了投票合約中的票數是根據賬戶中的代幣持有量得到的。
   
攻擊者至少在一天前發起提取Beanstalk:BeanstalkProtocol資金的提案,然后調用emergencyCommit進行緊急提交來執行提案,這個就是攻擊者1天之前發起攻擊準備的原因所在。
   
4資金追蹤
截止發文時,攻擊者獲利22029601個USDC,14742429個DAI,6,603,829個USDT與0.5407個UNI-V2,640224美元的BAEN代幣資金近8000萬,在攻擊時將其中的25萬USDC捐贈了烏克蘭,之后攻擊者將資金轉換為ETH并將資金持續向Tornado.Cash轉移。
針對本次事件,成都鏈安技術團隊建議:
1.投票所用資金應在合約中鎖定一定時間,避免使用賬戶的當前資金余額來統計投票數量,以避免可能出現的反復投票以及使用閃電貸進行投票;
2.項目方和社區應關注所有提案,如果提案是惡意提案,建議在提案投票期間應及時做出處理措施,將提案廢棄,禁止其接受投票以及執行;
3.可考慮禁止合約地址參與投票;此外項目上線前最好進行全面的安全審計,規避安全風險。
近期繼續關注日線能否有效突破站穩上方壓制線,今日點位43250美金,突破站穩后面將有機會再次試探前期多次遇阻的壓力帶,這一帶若能突破,上方月線壓力47500-48500美金.
1900/1/1 0:00:00我國是歷史悠久的文明古國,擁有極其豐富的歷史遺跡。各類歷史遺跡既是中華優秀傳統文化的重要載體,也是旅游業可持續發展的重要基礎.
1900/1/1 0:00:00從目前來看,這是場典型的科技行業Party。本次洛杉磯市中心PatternBar舉行的AxieInfinity派對現場表面上看著熱鬧非凡,但其下卻早已暗流涌動.
1900/1/1 0:00:00元宇宙主要以區塊鏈為技術底座,依托去中心化治理作為重要的治理模式。但是,當前法律對于元宇宙中的數字資產的保護還不夠明確,元宇宙經濟體系可能存在過度投機,一些數字資產可能存在證券性質,部分數字資產.
1900/1/1 0:00:00在加密貨幣中,你可以跟隨專業投資者與鯨魚的錢包來獲利,因為他們比你有更多的信息與籌碼。在本文中,我們將深入研究如何使用區塊瀏覽器查找和跟蹤錢包.
1900/1/1 0:00:00DAO起源 2006年,科幻作家DanielSuarez出版了一本名叫Daemon的書,被業界看成是關于DAO的原始文本.
1900/1/1 0:00:00