BTC/HKD-2.32%
ETH/HKD-1.09%
LTC/HKD+0.51%
ADA/HKD-1.49%
SOL/HKD-5.03%
XRP/HKD-0.87%在之前的推送里,我們就有介紹過智能合約,而智能合約中是怎么判定現實世界結果的呢?
比如說小卡和小明使用智能合約打賭今天中午12:00深圳是否會下雨,到了時間,智能合約會自動判定結果然后將獎勵劃給勝方,為實現去中心化、不受第三方控制的過程,智能合約是在區塊鏈上的沙盒運行環境部署的,與外界隔離。
當智能合約在虛擬機中運行時,并不能進行網絡操作、文件I/O或執行其他進程。并且出于運行獨立性和安全性的要求,智能合約之間也只能進行有限的調用。
智能合約允許在沒有第三方的情況下進行可信交易,實現交易的可追蹤且不可逆轉性,但是無法與區塊鏈外的數據發生直接聯系。
那么問題來了,到了中午12:00時程序如何獲取當時深圳的天氣信息呢?
大咖零距離 | 牛市來了 還可以在什么點位上車:2月12日16:00,金色盤面邀請區塊鏈KOL安迪做客金色財經《大咖零距離》直播間,將分享《牛市來了,還可以在什么點位上車?》,敬請關注,欲進群觀看直播掃描海報二維碼報名即可![2020/2/12]

那就需要一個外部的介質將數據寫入區塊鏈或分布式賬本中,那么問題又來了,如果是由第三個人小紅進行結果輸入,如何保證公平性和去中心化?假如小紅被其中一方收買,即使現實沒有下雨也輸入了下雨的結果,那么智能合約就失去了其意義。
那該怎么辦?
聲音 | BB:為什么Facebook不構建在區塊鏈上?:Block.one CEO Brendan Blumer今日轉發Facebook CEO馬克.扎克伯格關于“言論自由” 看法的推特,并評論稱:馬克理解人們自由表達看法的重要性,但是為什么Facebook不構建在區塊鏈上呢?難道是有太多東西不能公開透明化? (MEET.ONE)[2019/10/17]
這時候就需要“預言機”了。難道“預言機”能自動預知未來?不要被它的名字誤導了,其實并不是這樣。
什么是預言機

其實,“預言機”并不是什么神秘的魔盒,而是一種機制:將區塊鏈外的信息傳導到區塊鏈內。并且我們需要明確的是,預言機只負責數據的可信獲取,不直接參與交易的執行。
動態 | “什么是比特幣”今年在谷歌搜索量名列前茅:據CCN報道,根據谷歌發布的2018年搜索術語年度評論,“什么是比特幣”在谷歌的搜索量名列前茅,至少在美國是這樣。在去年,人們對于比特幣的搜索包括一般新聞搜索和“如何購買比特幣”。[2018/12/13]
還是以上述的例子,如果小紅一個人容易被收買,那么如果找來隨機的20人來寫入結果呢?讓他們每個人拿出十塊錢作為保證金,如果按照準確情況寫入結果就能拿回保證金甚至還能獲得額外獎勵,而如果惡意寫入錯誤的結果,就會被扣除保證金作為懲罰。這20個人做的事情就是簡單的預言機做的事情。
此外,從這20個人的組織和工作形式又可以將現有的預言機分為兩類:中心化預言機,如Provable;去中心化預言機,其中又包括可信聯盟預言機,和去中心化預言機,如ChainLink、Tellorr、Band、Augur、UMA。
動態 | 調查顯示:愛爾蘭的大多數人不知道區塊鏈是什么:一項新的研究表明,區塊鏈可能是下一個在技術方面很重要的東西,但愛爾蘭的大多數人不知道它是什么,因此沒有考慮過從事它。這項由Wachsman公司委托開展的對1000人進行的研究發現,在那些拒絕接受區塊鏈相關工作的人中,略多于一半的人表示,他們主要是因為不了解區塊鏈技術是什么。許多人還表示,他們沒有足夠的技能在區塊鏈工作。[2018/11/15]
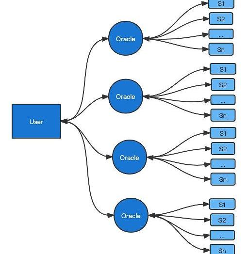
中心化預言機指由單一的特定預言者為服務請求方提供數據,對某一特定的數據服務請求,在請求方指定n個數據來源并向中心化預言者發送合約請求后,服務商從1個或多個數據來源的接口調用數據。中心化預言機的好處是高效、成本低,因為單一數據來源的成本遠低于從多個數據來源匯總的成本,且僅從最可信的一個數據源調用數據,保證了整個預言機系統運行的高效。

而去中心化預言機則由多個預言者共同提供數據獲取服務,利用糾刪碼技術處理冗余答案來提高整個預言機系統的判斷準確率。所有的預言者將在規定時間內將數據源提交的答案匯總和處理后,將匯總后的答案反饋給請求方。

總的來說,中心化預言機的商業模式本質上是一個數據服務平臺,而去中心化預言機是一個龐大的的數據服務網絡,全網的互通互聯,因其有效整合了系統加盟的多個預言者的資源,從而形成有效的商業合力。
因此不難理解中心化預言機在性價比和用戶體驗上具有先發優勢,而去中心化預言機因在客情和生態的模式上占優而具有較大的后發優勢,也在web3世界里成為主流發展方向。
預言機的實現原理和應用現狀
剛剛所打的比方仍然是需要人手進行,實際上預言機是怎么實現區塊鏈上的“先知”功能的呢?
實際上,預言機在鏈上鏈下信息傳遞過程中扮演著數據來源API接口之間橋梁的角色,從而實現區塊鏈接口與外部數據API接口形成對接。它既可以從原生的鏈上獲取數據,也可以通過爬蟲或者可信第三方機構從鏈下獲取數據。

通俗來說,“預言機”就是鏈上與鏈下信息交互的橋梁。有了預言機,就可以解決智能合約不能獲取非預先部署好的鏈上信息的痛點,從而在更好地利用區塊鏈技術接入現實世界,發展出更多的業務可能性,比如航班的延誤險、汽車意外保險、商業約定等。
預言機總結

總的來說,預言機是相當于一個數據接口,不參與智能合約的執行、決策,而僅作為鏈上鏈下信息交互的一個橋梁,也可以理解為我們做研究得出結論時所用的參考文獻庫。
當然,它仍存在一些不足,比如說數據來源的真實性、準確率,不管是中心化或非中心化的預言機都是有可能出現錯誤的,并且這種錯誤引用可能給智能合約參與方帶來巨大的不可逆損失。
來源:ThorHartvigsen 編譯:DeFi之道 較高的區塊空間需求和較低的以太坊擴容性能不可持續的流動性挖礦激勵推動了對其他L1鏈的需求.
1900/1/1 0:00:00文:JagjitSingh在Web3革命中,區塊鏈在Web3中的重要性在于提供一個通用的狀態層來構建去中心化的網絡。區塊鏈和加密貨幣對Web3來說是必要的嗎?加密貨幣和區塊鏈是Web3的基石.
1900/1/1 0:00:00當地時間周四,美國拜登政府在法庭上指控社交媒體巨頭Meta平臺公司,企圖通過并購的途徑獲得對元宇宙市場的主導權.
1900/1/1 0:00:00比特幣悲觀地開始了圣誕節前的一周,窄幅的交易區間讓比特幣多頭幾乎無法歡呼。周收盤價略高于16700美元,意味著在缺乏整體市場方向的情況下,BTC/USD仍然沒有大的波動.
1900/1/1 0:00:00頭條 ▌港交所亞洲首批加密資產ETF上市金色財經報道,港交所文件顯示,今天上市的兩只新ETF—南方東英比特幣期貨ETF及南方東英以太幣期貨ETF由南方東英資產管理有限公司管理.
1900/1/1 0:00:00文/TonyCheng,ForesightVentures合伙人;譯/金色財經xiaozou雖然2022年見證了一些加密歷史上前所未有的事件.
1900/1/1 0:00:00