BTC/HKD-1.39%
ETH/HKD-1.64%
LTC/HKD-1.89%
ADA/HKD-2.82%
SOL/HKD-1.79%
XRP/HKD-0.64%在20世紀之前,“以太”是所有物理學獎都深信不疑的物質觀念,所有的物理學家所做的理論、研究、成果都是圍繞著“以太”而展開,即使是牛頓、麥克斯韋這樣的大神,這朵籠罩在物理史上的烏云,差點掀翻了整個經典力學、電磁理論,讓所有物理學家辛辛苦苦構建的物理大廈轟然倒塌。

“以太”一開始是一個哲學概念,誕生于古希臘時期,古希臘人以其泛指青天或上層大氣。在亞里士多德看來,物質元素除了水、火、氣、土之外,還有一種居于天空上層的以太。在科學史上,它起初帶有一種神秘色彩。后來人們逐漸增加其內涵,使它成為某些歷史時期物理學家賴以思考的假想物質。

當時古希臘人認為的元素到了笛卡爾的手里,以太就正式入駐物理這座大廈,笛卡爾是一個對物理學、數學的發展都有著重大影響的哲學家。他最先將以太引入科學,并賦予它某種力學性質。在笛卡爾看來,物體之間的所有作用力都必須通過某種中間媒介物質來傳遞,不存在任何超距作用。因此,空間不可能是空無所有的,它被以太這種媒介物質所充滿。以太雖然不能為人的感官所感覺,但卻能傳遞力的作用,如磁力和月球對潮汐的作用力。

比特幣全網未確認交易數量為136801筆:金色財經報道,BTC.com數據顯示,目前比特幣全網未確認交易數量為136801筆,全網算力為375.92 EH/s,24小時交易速率為5.11交易/s。目前全網難度為51.23 T,預測下次難度上調0.97%至51.73 T,距離調整還剩10天19小時。[2023/6/4 11:56:15]
在牛頓之前,大家關于這個對于物體之間的作用就存在兩種對立的猜想:一種認為物體之間除了通常的接觸作用之外,還存在超距作用;一種認為物體之間的所有作用力都是近距作用,兩個遠離物體之間的作用力必須通過某種中間媒介物質傳遞,不存在任何超距作用,這種中間媒質被稱為以太。當然了,我們現在知道,宇宙之間有四大力,分別是強力、弱力、引力、電磁力。
而笛卡爾可謂是牛頓的引路人,牛頓創立流數術也是從笛卡爾《幾何學》獲取的靈感,當時他對笛卡爾求切線的“圓法”發生興趣并試圖尋找更好的方法。最終,牛頓首創了小o記號表示x的無限小且最終趨于零的增量。牛頓就借助于幾何解釋把流數理解為增量消逝時獲得的最終比。

盡管牛頓是光的微粒說的創始人,當時對于光究竟是什么,物理學家產生了激烈的爭執,牛頓的老對手胡克和法國科學界掌門人惠更斯提出了波動說,他們認為認為光線在一個名為發光以太的介質中以波的形式四射,并且由于波并不受重力影響,他假設光會在進入高密度介質時減速。荷載光波的媒介物質也就是以太應該充滿包括真空在內的全部空間,并能滲透到通常的物質之中。除了作為光波的荷載物以外,惠更斯也用以太來說明引力的現象。
哈薩克斯坦自去年以來已向加密礦企收取744萬美元稅款:金色財經報道,哈薩克斯坦政府在2022年向該國開采加密貨幣的企業征收了近690萬美元稅款,該稅款自去年1月1日起開始征收。此外,財政部表示2023年第一季度的加密稅款必須在5月25日之前支付,截止4月27日,財政部已收到54萬美元。
此前消息,哈薩克斯坦總統于今年2月簽署了一項限制國內加密礦工使用能源的法律。[2023/5/6 14:47:19]
而牛頓的微粒說則認為物體是由大量堅硬粒子組成的,但牛頓還是給以太在物理大廈中找到了一個位置。

牛頓在做光學實驗牛頓也認為以太可以傳播振動,但以太的振動不是光,因為光的波動學說不能解釋光的偏振現象,也不能解釋光的直線傳播現象。所以牛頓認為以太不一定是單一的物質,因而能傳遞各種作用,如產生電、磁和引力等不同的現象。

引力甚至電、磁力是在以太中傳播的。受經典力學思想影響,物理學家便假想宇宙到處都存在著一種稱之為以太的物質,他們普遍認為以太是傳播電磁波和光的媒介。而經典物理學理論中,將這種無處不在的“以太”看作絕對慣性系,其它參照系中測量到的光速是以太中光速與觀察者所在參照系相對以太參照系的速度的矢量疊加。以太作為絕對運動的代表,是經典物理學和經典時空觀的基礎。而這根支撐著經典物理學大廈的梁柱。我們知道,經典物理學有三大理論:經典力學、經典電磁場理論和經典統計力學。
Solana生態NFT項目DeGods基于Ordinals在比特幣鏈上鑄造:2月16日消息,Solana生態NFT項目DeGods已經利用Ordinals協議將535個NFT在比特幣鏈上鑄造。DeGods創始人Rohun Vora(Frank)表示,他和Dust Labs首席執行官Kevin Henrikson都是比特幣的長期愛好者,在Ordinals熱潮早期,他們很高興有機會將該項目帶到比特幣網絡。(Decrypt)[2023/2/16 12:11:12]

除了經典統計力學,其他的兩大理論都和以太有關。麥克斯韋建立的電磁場理論,將電學、磁學、光學統一起來,是19世紀物理學發展的最光輝的成果,是科學史上最偉大的綜合之一。可以說,沒有電磁學就沒有現代電工學,也就不可能有現代文明。

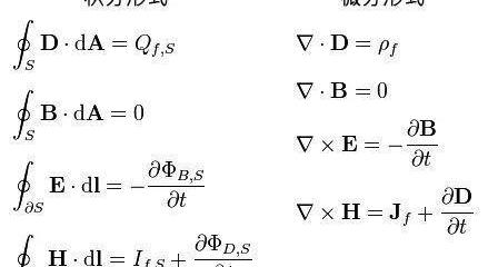
而麥克斯韋為了把電磁場理論由介質推廣到空間,假設在空間存在一種動力學以太,它有一定的密度,具有能量和動量:它的動能體現磁的性質,勢能體現電的性質,它的動量是電磁最基本的量,表示電磁場的運動性質和傳力的特征。在1865年,他提出了一共包含20個變量的20個方程式,即著名的麥克斯韋方程組。
后來,對麥克斯韋方程組進行簡化和完善的是奧利弗·赫維賽德和約西亞·吉布斯,他們以矢量分析的形式重新表達,才有了現在我們所看到的麥克斯韋方程組!
BNB Chain二層擴容方案Zecrey Legend第一階段公開測試網已上線:12月4日消息,基于BNB Chain的二層擴容方案Zecrey Legend已于北京時間12月3日21:00上線公開測試網。該測試網包含多個階段,目前已上線的第一階段產品為Android應用,包括了多鏈資產管理,以及基于ZK Rollup的Layer 2 NFT市場等功能。[2022/12/4 21:21:55]

麥克斯韋方程組有積分和微分兩種形式簡單來說,麥克斯韋電磁理論把傳播光和電磁波的介質說成是一種沒有重量,可以絕對滲透的“以太”。“以太”既具有電磁的性質,又是電磁作用的傳遞者,又具有機械力學的性質,它是絕對靜止的參考系,一切運動都相對于它進行。這樣,電磁理論因牛頓力學取得協調一致。“以太”是光、電、磁的共同載體的概念為人們所普遍接受。

所以說,以太這個假象的物質觀念可以說幾乎充斥了整個物理大廈,在當時,偏偏許多物理學家認為這座由經典力學、經典電磁場理論和經典統計力學構建的物理大廈已經足夠完美。著名物理學家基爾霍夫就說過:“物理學已經無所作為,往后無非在已知規律的小數點后面加上幾個數字而已。”
普朗克的老師約里就曾勸他不要學純理論,因為物理學“是一門高度發展的、幾乎是臻善臻美的科學”。后來普朗克啪啪打了老師的臉,創建了量子力學,直接建了一座新的物理大廈,成為了現代物理學的兩大支柱。
Lido Finance子圖現已部署至TheGraph上:金色財經消息,流動性質押協議Lido Finance宣布其子圖(Subgraph)現已部署至The Graph上。子圖開發者定義哪些數據將從區塊鏈上被索引,以及如何存儲和通過API層提供。Lido Finance建議其托管服務版本用戶將查詢遷移到去中心化網絡。[2022/6/21 4:42:59]

這才是老師叫普朗克不要學物理的原因啊如果以太學說被掀翻,那么物理學家關于光電、磁的所有認知都會被推翻,不僅僅是經典力學、電磁場理論將會覆滅,整個物理大廈也將搖搖欲墜。
這個時候,一個非常尷尬的事情發生了,著名物理學家邁克爾想要證明以太的存在。進行了著名的邁克耳孫—莫雷實驗。
這個實驗的用意在于探測光以太對于地球的漂移速度,從而證明以太的存在。因為在經典力學里,以太代表了一個絕對靜止的參考系,而地球穿過以太在空間中運動,就相當于一艘船在高速行駛,迎面會吹來強烈的“以太風”。若能測定以太與地球的相對速度,即以太漂移速度,便可證明以太的存在。

以太風邁克爾遜在1881年進行了第一次實驗,想測出這個相對速度,但結果并不十分令人滿意。于是,他和另外一位物理學家莫雷合作,在1886年安排了第二次實驗。這可能是當時物理史上進行過的最精密的實驗了。他們動用了最新的干涉儀。為了提高系統的靈敏度和穩定性,他們甚至多方籌措,弄來了一塊大石板,把它放在一個水銀槽上。這樣就把干擾的因素降到了最低的限度。

邁爾克實驗然而,實驗結果卻讓他們無比震驚和失望:兩束光線根本就沒有表現出任何的時間差。以太似乎對穿越于其中的光線毫無影響。根本測量不到地球相對于以太參照系的運動速度。地球相對以太不運動。此后其他的一些實驗亦得到同樣的結果。邁克爾遜和莫雷不甘心,一連觀測了四天,情況都是一樣。邁克爾遜和莫雷甚至還想連續觀測一年,以確定在四季中,地球繞太陽運行對以太風造成的差別。但因為這個否定的結果是如此清晰而不容質疑,這個計劃被無奈地取消了。

邁爾克實驗邁克爾遜-莫雷實驗是物理史上最有名的“失敗的實驗”。當時,它在物理界引起了轟動。因為以太這個概念作為絕對運動的代表,是經典物理學和經典時空觀的基礎,也是電磁理論的核心。而這根支撐著經典物理學大廈的梁柱竟然被一個實驗的結果而無情地否定,那馬上就意味著,整個物理世界將會轟然崩塌。
至死,邁克爾都不愿意相信實驗的結果,仍然固執相信以太的存在,念念不忘“可愛的以太”。而許多物理學家則開始了轟轟烈烈的補救行動,花費數百年時間辛苦搭建的物理大廈,怎么可能讓他付之東流,其中,最為著名的就是哈倫茲提出的哈倫茲變換。
洛倫茲為了在承認光速與參照系無關的條件下,拯救以太假設,便拋棄了空間間隔和時間間隔與參照系無關的絕對觀念。在他看來,常駐以太參照系是基本參照系,在這個參照系中,時間是均勻流逝的,空間是均勻的,各向同性的。任何實際參照系都相對于這個基本參照系運動著。

根據他的設想,觀察者相對于以太以一定速度運動時,長度在運動方向上發生收縮,抵消了不同方向上由于光速差異,這樣就解釋了邁克耳孫-莫雷實驗的零結果。

洛倫茲變換一定程度上拯救了經典物理學這座大廈,然而卻治標不治本,隨著實驗器材的精度不斷提高,邁克耳孫-莫雷實驗被眾多物理學家相信,他們開始慢慢懷疑以太的存在,這也讓經典物理學大廈隨時都有倒塌的風險。
這時候,愛因斯坦出現了,既然萬事源于以太,那就把以太丟掉好了。
愛因斯坦認為既然光速不變,作為靜止參考系的以太就沒有理由存在。于是拋棄靜止參考系以太、以光速不變原理和狹義相對性原理為基本假設的基礎上建立了狹義相對論。愛因斯坦基于事實的觀察著眼于修改運動、時間、空間等基本概念,重新導出洛倫茲變換,并賦予洛倫茲變換嶄新的物理內容,來解釋邁克爾遜-莫雷實驗和光速不變。愛因斯坦的洛侖茲變換是指純數學的空間縮短,不再是組成量桿的帶電粒子距離縮短。而且這種空間縮短不具有任何實質性的物理意義。

在狹義相對論中,空間和時間并不相互獨立,而是一個統一的四維時空整體,不同慣性參照系之間的變換關系式與洛倫茲變換在數學表達式上是一致的。

愛因斯坦的狹義相對論剿滅了以太這朵烏云,證明光速在不同慣性系和不同方向上都是相同的,由此否認了以太的存在,至此,整整桎梏了物理學家近300年的以太徹底消失,經典力學與電磁理論在各自領域各司其職,而相對論也成為了現代物理學的兩大支柱之一。

做了一點微薄的貢獻
Tags:300luna幣做空掙了1300萬的女
國家市場監督管理總局官網6月27日發布《關于部分蔚來ES8電動汽車召回的通知》(以下簡稱《通知》)稱,上海蔚來汽車有限公司(以下簡稱“蔚來”)已向國家市場監督管理總局備案了召回計劃,自今日起.
1900/1/1 0:00:00最新消息,孫宇晨在微博中取消了與巴菲特約定于7月25日的午餐會員之后,已經被邊控,互金整治辦已經建議機關對其立案.
1900/1/1 0:00:0010月8日,在日本大阪舉行的年度以太坊開發者大會Devcon5上,企業以太坊聯盟展示了其創建的獎勵代幣系統,由微軟和英特爾支持.
1900/1/1 0:00:00工作證明 優點: 自2009年以來,它在野生網絡進行了大量測試,并且今天也保持穩定;缺點:慢;耗費大量能源,對環境不利;易受規模經濟影響;使用者:比特幣,以太坊,Litecoin,狗狗幣等.
1900/1/1 0:00:00塞內加爾,全稱塞內加爾共和國,位于非洲西部凸出部位的最西端,首都達喀爾。北接毛里塔尼亞,東鄰馬里,南接幾內亞和幾內亞比紹,西臨佛得角群島。海岸線長約700公里,國土面積196722平方公里.
1900/1/1 0:00:00中視文旅專欄作者:謝文藝/原創認識海貝那一年,她才11歲,瘦瘦的像一棵小綠豆芽。海貝抱著想看看舞蹈學院是怎么考試的初衷,和來自全國各地熱愛舞蹈的小朋友一起經歷了一周的各種考試,竟然考上了北京舞蹈.
1900/1/1 0:00:00