BTC/HKD-1.93%
ETH/HKD-6.83%
LTC/HKD-2.07%
ADA/HKD-4.16%
SOL/HKD-4.55%
XRP/HKD-3.51%前言
前文《天冷了,干了這碗“零知識證明”雞湯》對「零知識證明學習」作了一個形象化的比喻:燉雞湯。那么本系列的主要內容可以簡單概括為《論高壓鍋燉雞湯的一百種方法》之方法二。在學會了“清燉雞湯”之后,不如來一口“阿膠雞湯”補補腦細胞吧!
正如雞湯不同風味之間各具千秋,不同的zk-SNARK方案也各有所長。zk-SNARK方案可以被分為與zk-SNARK,PLONK與Groth16分別是其中的典型代表。通過本系列,我們將對PLONK算法內容作簡要介紹,并指出PLONK和Groth16算法思路上的異同。
PLONK算法在中提出,由來自于ProtocolLabs的研究員Gabizon和以太坊隱私交易協議AztecProtocol的兩名研究人員合作完成。PLONK的提出晚于Groth16,在證明和驗證的性能上與Groth16也存在一定差距,但是基于通用可更新的可信設置這一特點,使PLONK算法在零知識證明領域占據了一席之地。
可信設置
可信設置可以說是PLONK和Groth16兩者間最顯著的差異。正是為了避免一次性的可信設置,PLONK設計了后續的約束系統和問題壓縮方式。那么什么是零知識證明中的可信設置呢?可信設置實際上是在創建一個用于證明驗證的秘密,任何知道這個秘密的人都可以偽造證明通過驗證。如果將零知識證明看作是一扇擋在證明者a和驗證者b之間上鎖的門,那么合法構建的證明就是可以打開門的口令,a提供口令即可進入房間。但是如果a得知了門的秘密也就是房間窗戶的位置,那么a可以直接無視鎖的存在翻窗進入房間。
NFT項目Doodles發布DoodleMAP:3月5日消息,NFT 項目 Doodles 發布 DoodleMAP。Doodles 表示,該地圖體現了其正在構建的宇宙及連接的方式,如地圖所示將繼續對以太坊生態系統和 Web3 的承諾進行大量投資。
在 Doodle 發布的地圖上,OG Collection 位于中心位置,周圍的產品和體驗包括 Doodlebank、Dooplicator、Doodles Records、The Stoodio、Planets、Space Doodles 以及已經推出的 Doodles2 和 Genesis Box。[2023/3/5 12:43:32]
▲無窗的房間
顯然,最安全的做法是找一個「沒有窗的房間」,這也是一部分零知識證明方案的思路——無需可信設置,例如可擴展透明知識論證zk-STARKs和防彈證明Bulletproofs。雖然它們的安全性得到提高,但是目前這類方法的證明驗證性能是遠低于zk-SNARKs的,近線性的驗證和規模較大的證明使其不適用于很多場景。
▲窗戶位置指定策略
PLONK和Groth16的做法都是保留窗戶,但是盡力保護窗戶的位置不被別人知道。
Coinbase:Solana有能力重新確立自己作為真正Layer 1競爭對手的地位:金色財經報道,Coinbase在一項研究中表示,Solana 社區對 FTX 的崩潰和廣泛的市場一樣感到震驚,并指出創始人 Anatoly Yakovenko 認為區塊鏈與 FTX 的內在聯系被夸大了。
Coinbase 表示,鑒于生態系統在交易、用戶和開發方面的網絡活動方面的相對優勢,Solana 有能力重申自己是真正的Layer 1競爭對手。Layer 1網絡是區塊鏈的基礎層。該報告稱,目前 Solana 上的活動與以太坊上的活動相比有優勢,這表明 SOL相對于ETH可能被低估了。[2023/2/23 12:25:29]
Groth16的做法是:根據不同的問題,每次都指定窗戶在房間中的擺放位置,也就是它需要一次性的可信設置。而PLONK面對不同的問題時:窗戶的位置是固定不變的,即窗戶的位置只需要被指定一次。也就是說PLONK的可信設置是通用的。那么這些窗戶指定的位置由誰來確定呢?當然,可信第三方是一個備選項。但這意味著說這間房間是否會被惡意證明者攻破,其安全性寄希望于這位第三方。除此之外還有一項熱門技術也可為其提供思路——多方安全計算。沿用之前的例子,可以不太嚴謹地將MPC概括為:多個人共同指定窗戶的位置,除非這些參與者全部聯合起來對答案,這個位置將無法由任何人得知。
去中心化投注協議Azuro v2現已上線Polygon:2月17日消息,去中心化投注協議Azuro v2現已上線Polygon,任何人均可賺取Azuro Score積分,這些積分將在AZUR代幣發布后予以兌換。
此前報道,2022年6月27日,去中心化投注協議Azuro完成400萬美元融資。[2023/2/17 12:13:31]
顯然,使用MPC時,參與者的數量越多,秘密的安全性越高,這類可信設置也比可信第三方更為用戶所接受。遺憾的是,雖然目前提出了基于Groth16的可信設置,但是由于Groth16的秘密計算與特定的問題相關聯,每次遇到新的問題時,必須重新開啟一輪MPC可信設置。可想而知,需要多方參與的計算協議將是極為繁瑣的,這樣將大大影響Groth16的性能。相比之下,具備通用性的PLONK與MPC的適配度極高。
而之前提到的PLONK可信設置的可更新性則是指:通用的PLONK秘密可以通過再開啟一輪MPC作更新。新生成的秘密安全性建立在兩次MPC的安全性上,只要兩次中有一個參與者是誠實的,這個秘密就是可信的。約束系統
Groth16及PLONK均將程序先轉化為一個由加法門和乘法門組成的算術電路,再通過將電路構建為多項式的形式來進行后續的計算。本節我們將使用Vitalik文章中的一個簡單例子進行說明:
數據:比特幣7日平均交易量創14個月新高:1月14日消息,Glassnode數據顯示,比特幣7日平均交易量達到11779.565筆,創14個月新高。[2023/1/14 11:11:31]
對于程序qeval,prover需要證明自己知道qeval(x)=35的解,即x=3。
defqeval(x):
y=x**3
returnx+y+5,其轉化為算術電路可表示如下:

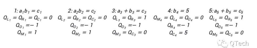
PLONK中,上圖電路的描述由兩部分組成:門約束與線約束。門約束固定電路中每個門的動作。此外,在電路中我們規定相連線的值應保持一致,對此線約束規定這些線的關系。接下來我們分別討論兩類約束的多項式表示。門約束
在PLONK中,對于第i個門,可被描述為如下形式:
(QLi)ai+(QRi)bi+(QOi)ci+(QMi)aibi+Qci=0
其中Q均為常數,a,b,c則是信號的下標。具體地,在PLONK中門約束可以被分為三類:算術約束、布爾約束、公共輸入約束。
數據:過去一年中DAO數量增加8.8倍:6月10日消息,根據Electric Capital工程師Emre Caliskan在推特上分享的Snapshot Labs的數據,DAO的數量已經增加了8.8倍,從2021年5月的700增加到現在的6000。在過去的12個月里,提案數量增加了8.5倍,總票數增加了8.3倍,從44.8萬增加到370萬。(Cointelegraph)[2022/6/10 4:16:32]
最為常見,用于表示電路中的所有加法門和乘法門,此時a,b,c分別表示門的左右輸入和輸出信號下標,Q_C一般為0。根據門的類型剩余的符號有不同的取值:
加法門:QLi=1,QRi=1,QOi=-1,QMi=0??ai+bi-ci=0乘法門:QLi=0,QRi=0,QOi=-1,QMi=1-ci+?aibi=0
顧名思義,用于約束布爾類型的信號,其值只能取0或1。例如現在需要約束下標為j的信號∈{0,1},那么門約束式子中各變量的取值為:
ai=bi=j,QLi=-1,QMi=1,QOi=QRi=Qci=0
-j+j*j=0
另外,針對問題中出現的證明方和驗證方都知道取值的輸入,需要在約束系統中有所體現。例如要求約束下標j的信號取值為v,對應的取值為:
ai=j,QLi=1,QMi=QOi=QOi=0,Qci=-v
j-v=0
利用該式,我們可以很容易地表示上圖中的所有門約束:

與Groth16類似,可以將所有的多項式組整合在一個多項式中:

線約束
線約束可以分為兩種情況:
同一多項式內部,例如:a1=a3
不同多項式之間,例如:a1=b1
當只需要考慮情況1時,可以通過構造p(x)=P(x)來實現約束:
X(X)=X
p(X+1)=p(X)*(β*X(X))+Y(X)+γ)
P(X+1)=P(X)*(β*X(σ(X))+Y(X)+γ)
p(0)=P(0)=1
其中β,γ為隨機數,X->Y表示了待約束的多項式,P(x)使用了x的置換σ(x)。對于下面例子:
X(1)→Y(1)
X→Y:X(2)?→?Y(2)?and,Y(1)=Y(3)
X(3)→?Y(3)
σ(1)=3
σ(X):σ(2)=2
σ(3)=1
當且僅當Y(1)=Y(3)成立時,p(x)=P(x)。
現在,讓我們增加問題的復雜度:需要約束的多項式個數為k時。自然地,設門的總數為n,我們可以對第j個多項式構造對應的p_j(x)=P_j(x),即

進一步地,情況2的出現要求對以下情況中的x作區分:
pj(x)and?pi(x)????
那么可以增加對x的映射,對于第j個多項式:
X(X)=(j-1)*n+X
p(X+1)=p(X)*(β*X(X))+Y(X)+γ)
P(X+1)=P(X)*(β*X(σ(X))+Y(X)+γ)
p(0)=P(0)=1
以上就是線約束的全部內容,其實質是為了保證電路中同一條或相連線上的值相等。
與Groth16類似,將上述的約束聯立將得到一個完整的PLONK約束系統。通過將抽象的代碼和電路轉化為約束系統R1CS,我們可以將一個零知識證明問題固定下來。讓我們帶著問題進入下篇:PLONK中如何將R1CS轉為多項式描述?它與Groth16做法區別在何處?敬請期待!

ArielGabizonandZacharyJ.WilliamsonandOanaCiobotaru.(2019).PLONK:PermutationsoverLagrange-basesforOecumenicalNoninteractiveargumentsofKnowledge.
SeanBoweand?ArielGabizonandIanMiers.(2017).ScalableMulti-partyComputationforzk-SNARKParametersintheRandomBeaconModel.
https://vitalik.ca/general/2019/09/22/plonk.html
“舊世界”已經開始松動,通往“新世界”的橋梁已經越來越多。Web3.0正加速向我們襲來,它到底是什么,在Web3.0中有哪些值得關注的賽道,我們又該如何參與其中?11月25日,DeFi之道邀請到.
1900/1/1 0:00:00據Cointelegraph消息,東加勒比地區中央銀行于12月7日向多米尼加聯邦和英國海外領地蒙特塞拉特推出了其數字支付系統DCash,在計劃實施該系統的八個國家中,目前只剩下安圭拉還未實施.
1900/1/1 0:00:00本文來自U.Today,原文作者:AlexDovbnyaOdaily星球日報譯者?|念銀思唐阿布扎比主權財富基金MubadalaInvestmentCapital首席執行官Khaldoonal-.
1900/1/1 0:00:00作者:王七刀 來?源:?新消費智庫&新營銷專欄001如果說最近我觀察到的新的營銷動態,離不開三個知名大品牌進軍元宇宙:第一個品牌是知名奶茶品牌奈雪的茶.
1900/1/1 0:00:00據TheBlock11月30日消息,在美國SEC最近拒絕了VanEck的現貨比特幣ETF申請之后,灰度正在反駁該監管機構的論點。灰度周一致函SEC,認為其多次拒絕此類申請可能違反《行政程序法》.
1900/1/1 0:00:00圍繞資本市場技術創新的頂層推動一直在持續。日前,北京證監局發布了《關于就資本市場金融科技創新試點第一批試點項目方案公開征求意見的通知》,披露了證監會在北京地區首先啟動的資本市場金融科技創新試點工.
1900/1/1 0:00:00