BTC/HKD+3.07%
ETH/HKD+4.92%
LTC/HKD+0.83%
ADA/HKD+0.75%
SOL/HKD+4.09%
XRP/HKD-2.74%在這篇文章中,我們討論了去中心化自治組織(DAO)的估值框架。盡管我們是基于公司金融的概念框架,但我們引入了 DAO 原生估值概念。
*注:擬議的 DAO 估值框架是初步的,因為我們剛剛了解到 DAO 的特異性以及市場參與者如何評價它們。
與 DAO 背后的開發公司相比,DAO 代幣的估值是一個獨立的估值框架。估值框架將使社區能夠衡量 DAO 在為代幣利益相關者創造價值方面的表現,并有助于對 DAO 背后的開發團隊引入更多的責任。
本文重點關注 DAO 代幣的估值,以及在估值工作中可能要考慮的各種代幣的具體因素。
首先,我們需要正確定義我們的定價。在本文中,我們將 DAO 視為在智能合約上自主運行并由利益相關者社區管理的組織。許多協議都采用了公司-DAO 的雙重結構,公司作為 DAO 的開發公司和底層協議的運營商。協議背后的公司往往是在 DAO 之前創建的,并保持對相關知識產權和資產的所有權。例如,Uniswap 可以被看作是一個擁有治理令牌(UNI)的 DAO,其開發工作由 Uniswap Labs 公司負責。
Web3 利用代幣經濟學來實現股權和代幣的激勵,以創造出適當的去中心化。代幣也被用來作為冷啟動問題的部分解決方案,其中代幣激勵被用來獎勵用戶適當的用戶行為。從根本上說,代幣的價值是通過社區成員資格、代幣在生態系統中的效用以及附帶的治理權來體現的。DAO 創造的價值通常不是為了在代幣持有人之間分配產生的價值,而是為了提供效用和治理參與。
在不涉及關于證券的情況下(因為這個問題遠未解決)DAO 一直很謹慎,不直接向代幣持有人分配價值,因為這有可能導致代幣被歸為證券。
DAO 創造的價值可以通過各種渠道間接流向代幣持有者。例如,人們可以重視質押的價值、社區的利益、會員資格和 DAO(部分)的總體增長。根據具體情況,人們也可以像一些協議那樣,將價值直接分配給代幣持有人。
首先,沒有通用的估值方法,一個 DAO 可以涵蓋眾多不同的概念。例如,Hennekes(2022)將 DAO 分為八類:協議 DAO、贈款 DAO、慈善 DAO、社會 DAO、收藏 DAO、風險 DAO、媒體 DAO 和子 DAO。
Friend With Benefits DAO 是一種基于社區的努力,其大量價值來自社會資本,而 Orange DAO 是一種集體風險投資的努力。
因此,每個 DAO 都需要一個針對其類別的估值方法,不同因素的重要性將根據 DAO 的類別而有所不同。
然而,我們可以提供一個思考估值的一般框架,只要做出適當的調整,就可以大致適用于不同的 DAO。
墨西哥官員會見Samson Mow討論墨西哥如何采用Bitcoin:金色財經報道,Bitcoin Magazine在社交媒體上發文表示,墨西哥參議員兼財政部委員會主席會見Samson Mow討論墨西哥如何采用Bitcoin。[2023/4/30 14:35:25]
我們認為,DAO 代幣的估值主要有基本面估值或可比分析法。
在基本面估值方法中,人們嘗試根據與持有代幣的效用和預期的代幣價值有關的基本面來評價 DAO 代幣。
在投資可比性方法中,人們試圖根據各種指標來比較 DAO 代幣。
顧名思義,基本面估值方法更符合試圖根據基本面給代幣定價,而可比方法是一種更符合市場的估值方法。
人們可以用以下方式思考 DAO 代幣的基本估值模型。

估值既是一門藝術,也是一門科學,許多子組件需要酌情估計和假設。
貼現率可以通過加權平均資本成本(WACC)來估計,WACC 是通過取其資金來源的加權平均貼現率來計算的。這些資金來源可以包括債務或股權(代幣)。WACC 的計算方法如下:

其中 D 代表 DAO 的債務價值,T 代表 DAO 的代幣總價值。
對于債務成本,人們應該簡單地采取債務收費利率的價值加權平均值。然而,在大多數情況下,DAO 的資金結構中沒有杠桿,這意味著 WACC 基本上等于代幣資本的成本。
我們可以通過在 DAO 原生因子模型框架內計算預期收益來估計代幣資本的成本。文獻(如 Liu 和 Tsyvinski,2021)表明,加密貨幣市場是一個獨立的資產類別,有自己的特異運動,與其他宏觀資產類別的相關性有限。然而,與股票的相關性相對較強且不斷增加,更具體地說,是與科技股票市場的相關性。特別是對于 DAO 代幣來說,因為這些代幣可以被看作是 Web3 組織的利益相關者。
可以借用股票中資產定價的概念,然而,鑒于這種資產類別的特殊性,需要一種 DAO 原生的模型方法。因素模型在股票市場上很流行,用于估計預期收益和估計貼現率。
以前的研究表明,三因素模型捕捉了加密貨幣中很大一部分的系統性回報。從 Botte 和 Nigro(2021)的主成分分析中可以看出,前三個因素占據了大約 70% 的聯動性,這與股票中的三因素模型基本一致。
Terra生態行情網站Coinhall:無論Terra2.0最終結果如何,將繼續支持以完成集成:5月18日消息,Terra生態行情網站Coinhall發推稱,不知道Terra2.0的結果是什么,也無法評論最好的提案會是什么樣子,但將在繼續支持Terra1.0的基礎上完成集成,以便Terra用戶仍然可以在任一鏈上使用這個熟悉的平臺。[2022/5/18 3:25:02]
我們看到加密貨幣市場發生了變化,從代幣回報與比特幣密切相關,到代幣與比特幣的關聯度越來越低。因此,在加密貨幣市場內有更多的特異性風險-回報,人們可以認為 DAO 代幣與 DAO 代幣市場部分的相關性更高,并且在中長期內與加密市場的相關性通常較低。
在有足夠歷史的交易 DAO 代幣,我們可以使用因素模型來估計預期收益。在沒有交易的代幣(或數據點太少)的情況下,我們可以使用一組可比較的 DAO 代幣,并校正相關因素,如規模和非流動性。
**因素模型分兩步構建:**首先構建因素回報,其次對 DAO 代幣的因子回報進行回歸。因素回報被估計為多空投資組合的回報,這些投資組合每月重新平衡并根據價值加權計算。
然而,Jiasun Li 和 Guanxi Yi(2020)發現加密貨幣中的多頭因素具有更大的意義。多頭更重要可能是由于在加密貨幣中做空的成本相對較高,造成的下行壓力較小。
因素研究的一個標準做法是對投資組合進行價值加權,然而,在加密貨幣中,某些代幣在市值方面往往存在很大的優勢,這將使價值加權的結構向少數代幣傾斜。因此,我們建議使用對數價值加權方案,以確認頂級代幣的市值,但不要使投資組合過于偏向少數選定的代幣。此外,因素應該在沒有幸存者偏差的數據上估計,并包括失敗的 DAO 項目。
我們建議將 DAO 市場、生態系統、規模、價值、流動性和動量作為 DAO 因素模型的因子。這是一個傳統的 5 因素模型,并輔以區塊鏈生態系統因素。
市場因素反映了廣泛的加密貨幣市場風險,并被計算為 DAO 代幣領域的平均回報。
生態系統因素反映了與 DAO 所在的 L1 生態系統代幣(如 Ethereum、Solana、Avalanche)的系統相關性。人們可以認為,DAO 代幣的存在與它所處的生態系統有著根本的聯系。例如,以太坊上的 DAO 依靠以太坊網絡來執行智能合約,并將在 ERC-20 框架內擁有代幣。
規模因子反映了規模風險,為了計算做多小型 DAO 代幣而做空大型 DAO 代幣的投資組合的回報。傳統意義上的價值因子在 DAO 中很難定義。人們可以根據本文可比性部分討論的一些指標來構建價值因子,因為這些指標代表了基于金融和商業變量的價值衡量。
美眾議院金融服務委員會:正深入研究如何更好地監管加密行業:金色財經報道,據官方推特消息,美國眾議院金融服務委員會正在關注加密貨幣作為長期投資的影響,并正在深入研究如何更好地監管這個快速增長的行業。[2021/7/1 0:18:18]
流動性因子反映了流動性風險,通常為了計算投資組合的回報,該組合在低流動性的 DAO 代幣上做多,而在高流動性的 DAO 代幣上做空。可以使用各種流動性衡量指標,如交易量、買賣價差或 Amihud 非流動性措施。
動量因子反映了動量或趨勢風險,計算為做多表現最好的 DAO 代幣而做空表現最差的 DAO 代幣的投資組合的回報。
最后,DAO 代幣對因素收益的回歸按照以下等式定義:

其中 Rt 代表 DAO 代幣的回報,RFt 代表無風險利率或資金利率回報,代表 DAO 代幣的阿爾法回報,i 代表 DAO 代幣對因子 i 的風險,Fi,t 代表因子 i 的回報。
“無風險”融資利率反映了流動性成本。例如,以太坊生態系統內的流動性是通過 ETH 處理的,其中 ETH 的質押回報可以被視為基本資金利率。估計的貝塔系數可以用來計算適當的預期收益和貼現率。
最普遍的基本估值模型之一是貼現現金流(DCF)模型,該模型基于實體未來(自由)現金流的貼現估值。使用類似的思路,人們可以考慮對代幣流進行貼現,在這里可以計算出 DAO 的自由現金流。DCF 模型使用三個主要部分:現金流、貼現率和對未來預期現金流(增長)的假設。在 DAO 的情況下,我們可以引入自由代幣流(FTF)一詞,它包括 DAO 產生的真正的代幣流動性,可以使用凈收入、資產折舊、工作代幣流動性的變化和系統代幣支出進行計算。更具體地說,自由代幣流可以計算為:

凈收入、資產折舊、周轉資金流動性和資本支出可以按照傳統會計和公司財務慣例來定義。
*注意:DAO 會計領域還很早期--參見 Lommers, Ghanchi, Ngo, Song, and Xu (2022),他們討論了 DAO 會計,并且可以根據加密貨幣會計和 DAO 的特殊性進行各種方法學調整。
折現的代幣流量(DTF)可以計算為:

美國FDA政策藍圖:應研究如何利用區塊鏈跟蹤產品:金色財經報道,美國食品藥品監督管理局(FDA)周一公布了一項針對食品安全的新計劃,在發布的一份政策藍圖中引用了區塊鏈技術在跟蹤產品中的潛在作用。根據該藍圖文件,總體計劃的主要組成部分是使用新興技術來增強現有系統并構建新系統。文件稱,當研究行業如何通過數字方式跟蹤飛機、行程共享和包裝貨物的實時移動,或者企業如何利用大數據來識別趨勢時,很明顯,FDA和利益相關者應該研究如何利用新技術,包括但不限于人工智能、物聯網、傳感器技術和區塊鏈。[2020/7/15]
其中 FTFt 代表第 t 年的自由代幣流量,rt 代表第 t 年的折現系數,TV 代表最終價值。
人們也可以假設 DAO 會隨著其細分市場的發展而增長,并使用該增長率來估計未來的自由代幣流量。
麥肯錫最近的一份報告(2016)主張用現金流折現模型來評估科技初創公司的價值。他們建議分析初創公司所針對的細分市場的預期長期發展,并以此為基礎進行倒推。DTF 計算變為:

其中 FTFt 代表 t 年的自由代幣流量,rt 代表 t 年的貼現率,gt 代表 t 年的增長率,TV 代表最終價值。模型中的一個主要假設包括未來的增長率,但這可以通過情景分析來處理(例如,增長率的延續,增長率的減半,增長率的翻倍,等等)。
這種代幣流可以直接和間接地累積到代幣持有人身上。例如回購和燃燒機制。擴大代幣持有人的價值,直接分配等。
DAO 中的代幣所有權可以帶來各種好處,包括成為社區的一部分、某些成員權利、治理權利等。DAO 中沒有一刀切的做法,各種 DAO 可以通過 DAO 目前啟用的一系列可用選項提供不同的好處。Agarwal(2021)認為,社區本身就很有價值,因為它們允許建立基于社區的合作倡議,利用共同的資源,分享知識和技能等等。
治理權是持有 DAO 代幣的另一個常見好處,反映了社區參與決策的程度。為了衡量治理質量,Regner(2022)提出了各種措施,如提案數量、提案門檻、提案接受度、投票參與度等。最近社區內一直在討論治理權是否對代幣價值有影響,Buterin(2022)認為治理權不應該對代幣價值有影響。
我們認為,治理權可以根據具體情況來決定:價值是否分配給代幣持有人,社區對 DAO 運營的參與程度,等等。
DAO 的利益可以根據代幣持有量而有所不同。例如,Mnema DAO 根據代幣持有量將所提供的利益分成幾個等級,最高等級的利益相對于最低等級的利益要高很多。作為一個大股東,在治理方面有一定的戰略優勢,這可以說是類似于傳統企業融資中的控制權溢價。每個代幣持有人對 DAO 利益的估價可能不同,所以在這種估價工作中存在著自由裁量的因素。
新華網分析:區塊鏈如何帶來個人數據保護“革命”:新華網今晚發表文章《區塊鏈如何帶來個人數據保護“革命”》,文章表示大數據時代,個人的數據被認為是黃金般珍貴。個人數據泄漏令人擔憂,但絕大部分人不可能因為害怕數據被收集而切斷與互聯網的聯系,而現階段有責任保管個人信息的企業、學校、酒店、社交網站等往往擔責不力。專家們認為,區塊鏈技術作為一種帶有加密、信任、點對點、難篡改等特征的“中間件”,有望解決這個難題。
區塊鏈技術的出現令個人數據掌控權從互聯網公司轉移到用戶自己手中,使人人掌控自己的個人數據成為可能。通過它,用戶個人數據可以與個人數字身份證相關聯,用戶可以選擇數字身份證是匿名、化名或公開,還可以隨時隨地從任何設備訪問區塊鏈應用平臺,控制他們的互聯網個人數據。[2018/4/18]
人們可以嘗試估價所提供收益的近似平均值,這可能是未來研究的一種途徑。
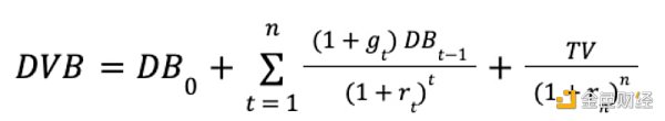
效益的折現值(DVB)可以計算為:

其中 DBt 代表第 t 年的 DAO 效益價值,rt 代表第 t 年的貼現系數,TV 代表第 t 年后 DAO 效益的最終價值。
我們也可以假設 DAO 效益會隨著市場細分而增長,并使用這個增長率來估計未來的效益。在這種情況下,DVB 的計算結果是:

其中,DBt 表示第 t 年的效益價值,rt 表示第 t 年的貼現率,gt 表示第 t 年的增長率,TV 表示效益的最終價值。模型中的一個主要假設包括未來的增長率,但這可以通過情景分析來處理(例如,增長率的延續、增長率的減半、增長率的翻倍,等等)。
大多數有原生代幣的 Web3 項目允許將代幣用于區塊鏈共識的生成、代幣經濟學激勵或協議開發,而代幣獎勵則由這些持有者獲得(Cong, He and Tang, 2022)。
在金融方面,我們可以把這看作是通過鎖定一定時間的資本來創造被動收入。因此,人們可以計算出以適當的折現率折現的預期質押回報。如前所述,ETH 的質押收益可以被視為以太坊生態系統中的流動性成本。因此,人們可以認為,以太坊生態系統內的代幣流動性成本等于 ETH 質押收益率,并增加了風險溢價。
質押的代價主要包括失去靈活性,因為代幣被鎖定了一段時間:原生代幣的價格波動,項目的失敗,以及潛在的平臺黑客(Royal,2022)。應該注意的是,在早期階段,為了激勵早期用戶,質押收益率可以相對較高。在這些情況下,質押收益率可能大大高于風險調整后的流動性成本。
假設 DAO 代幣的價值與 DAO 的價值掛鉤,我們可以使用各種相關指標的可比性來評估 DAO 這個實體。可比分析使用比率或指標來確定估值估計。更重要的是,它使用基于類似競爭對手的估值,因此是一種更符合市場的估值方法。可比分析利用基本會計和商業信息來計算與盈利能力、財務狀況、用戶吸引力等有關的關鍵指標。我們想說的是,需要開發 DAO 原生的指標來評估這個新范式下的組織。
可比性的 DAO 可以按類別和規模來定義:
如果在正確的規模和類別方面沒有可比較的 DAO,則需要找到最接近的。
如果在同類別中找到了可比較的 DAO,但規模相差很大,我們可以估計出一個規模修正。例如,可以估計類別內大型和小型 DAO 的平均估值差異,并將其作為估值修正。如果可能的話,人們應該嘗試采取各種競爭者并計算出一個估值范圍。
標準可比性包括收入、利潤、EBITDA 和利潤率等指標。有許多流行的指標用于 Web2 公司,其中一些最重要的指標包括每月獨立訪客、跳出率、平均訂單價值、活躍用戶數、客戶轉換率、流失率、每訪客成本和病系數(企業金融研究所,2022)。這些指標可以用來比較公司,從而根據這些指標對其進行相對估值。為了構建相關的可比性,必須將 DAO 與傳統(Web2)科技公司區分開來。
正如 Hsu(2022)所認為的,Web2 中的估值傾向于關注客戶獲取和用戶活動。我想說的是,DAO(以及更廣泛的 Web3)中的相關因素包括去中心化程度、社區參與、協議用戶、協議開發活動、與其他協議的整合、區塊鏈生態系統指標和協議收入。
因此,我們可以為 Web3 的估值提出以下指標:單一的協議用戶和代幣持有人,收取的協議費用,代幣持有人對治理的參與,協議交易量,代幣交易量和速度,社區互動(如 discord),國庫支出和增長,協議生態系統的增長,以代幣激勵方式獲取用戶的成本(如吸血鬼攻擊),以及用戶凈現值(如以代幣收到的價值--提供的價值)等等。
可比估值最好通過研究不同的指標來進行,這些指標可能是針對 DAO 不同的類型。
例如,與社會 DAO 相比,結構 DAO 的 DeFi 協議需要不同的衡量標準。鎖定的總價值(TVL)被認為是人們在分析 DeFi 協議時關注的核心指標之一。
例如,Maker DAO(2021)提出了未償還風險資產總額、利息收入相關性、凈利息收入、未償還 DAI 總額、DAI 市場份額、DAI 鏈上交易量、毛利息收入和開設的金庫。
人們可以比較 DAO 相對被高估/低估的各個維度,并根據有關維度的相對重要性取一個加權平均值。
由于代幣價格是代幣需求和供應平衡的結果,因此考慮代幣供應的也很重要。
可持續和健全的代幣經濟學成為代幣估值工作的一部分。協議代幣經濟學的組成方式應促進和最佳地激勵生產價值的產生。
由于大多數流通的加密貨幣代表了實用代幣,人們可以認為,代幣價值應該代表持有代幣的效用,并描繪出協議生態系統提供的效用。從根本上說,一個可持續的代幣經濟設計將促進代幣價值和生態系統的效用之間更緊密的聯系。
在比較 DAO 代幣時,應該對未來的代幣供應進行修正,以便進行適當的逐一比較。例如,與固定的代幣供應相比,"開放 "的代幣供應給未來的估值帶來更多的不確定性。
在對代幣進行估值時,必須考慮到代幣的流通速度。(Samani 2017)生態系統的增長并不一定意味著價格的上漲,因為高速流通的代幣,如果沒有什么動機來持有代幣,那么價格升值就會比較少。Samani(2017)提出了一些協議可以降低速度的方法,如引入利潤分享機制,建立質押功能,平衡燒毀和鑄造機制以及游戲化來激勵持有。
大多數 DAO 代幣都在去中心化交易所上市。因為在中心化交易所上市可能是一個漫長而昂貴的過程。特別是對于非藍籌股的代幣,流動性可能很薄,交易的價格影響很大。這給基于非正常交易活動的價格波動帶來了巨大風險。例如,如果一個區塊持有人將出售他們的頭寸,這可能對代幣價格產生重大的負面影響。與此論點相關的是代幣的分配,其中鯨魚持有者的情況可以被認為會帶來重大風險。然而,在這里,人們應該對協議庫中持有的代幣、交易所池合約中的代幣等進行抽象,因為這些代幣往往更有粘性,或者為了特定的目的匯集在一起(例如,代幣的市場化)。
早期投資者和開發團隊往往有一個歸屬時間表,即代幣不能在指定時間內出售。事實證明,歸屬時間表是代幣價格變動的一致信號,因為投資者傾向于借機獲利。因此,估值應考慮到代幣歸屬時間線,這有可能在短期內造成巨大的價格下行壓力。
國庫內的流動性很重要。正如 Regner(2022)所說,DAO 傾向于在國庫中持有大量自己的代幣。對于國庫業務來說,擁有流動性很重要。如果沒有其他代幣的流動性,國庫就需要出售自己的代幣,造成價格下行壓力。特別是在中小型 DAO 代幣的情況下,流動性相對稀薄,國庫出售代幣可能會對價格產生很大影響。
為代幣持有人社區提供價值并與之接觸也很重要。一些領先項目的大量效用或治理代幣表現不佳。這主要是因為他們未能為其代幣持有人提供增值服務。這又回到了 DAO 和企業之間的討論,更重要的是兩者之間的激勵不一致。
如前所述,在許多協議中,協議背后的公司往往是在 DAO 之前創建的,并保持對相關知識產權和資產的所有權。該協議可以經歷強勁的增長,協議背后的公司經歷了急劇的估值增長,而代幣則停滯不前。協議背后的公司所有者(即開發團隊和投資者)和代幣持有人之間可能存在相對較大的激勵錯位。然而,正如 Walden(a16z)所論證的那樣,協議可以逐步去中心化,他們開始時很集中,然后逐漸變得變得去中心化(其中 IP 等被轉移到 DAO),這一點可以被考慮在內。
https://mirror.xyz/kristoflommers.eth/koszUqhfZ83GN5_UuxIo7orjSmRB1lBRL24EWMYfJ64
撰寫:Kristof Lommers
編譯:深潮 TechFlow
來源:bress
Bress
個人專欄
閱讀更多
金色財經
金色早8點
澎湃新聞
Odaily星球日報
Arcane Labs
深潮TechFlow
歐科云鏈
鏈得得
MarsBit
BTCStudy
原文作者:André Beganski,decrypt;Odaily 星球日報譯者:Moni6 月 1 日,可能會是一個對全球市場產生歷史性影響的日期,美國正面臨著有史以來第一次債務違約的風險.
1900/1/1 0:00:00Genesis 和 Grayscale 的母公司 Digital Currency Group (DCG) 于 1 月 20 日發表聲明.
1900/1/1 0:00:00原文:《Balaji Srinivasan:那個在加密領域出手次數最多的天才投資人》 作者:潤升 Balaji Srinivasan 究竟是誰?他有何傳奇經歷?他對加密行業的核心思想和貢獻是什么.
1900/1/1 0:00:00文/Chris Powers,Dose of DeFi;譯/金色財經xiaozou穩定幣市場在經歷了飄搖動蕩的一年后正在慢慢降溫.
1900/1/1 0:00:00原文標題:《 Aptos 新年 AMA:2023 年 Aptos 將發力哪些領域? 》原文來源:Loopy Lu1 月 16 日晚間.
1900/1/1 0:00:00Cosmos Hub在今年3月15日完成Lambda升級,正式上線Replicated Security(復制安全性),也被稱為InterchainSecurity(鏈間安全性).
1900/1/1 0:00:00