BTC/HKD+0.01%
ETH/HKD-0.04%
LTC/HKD+0.28%
ADA/HKD-0.64%
SOL/HKD+0.26%
XRP/HKD-0.05%內容
介紹
動機
當前 NFT 項目的可替代代幣發行方式
問題
解決方案的其他要求
機制
概述
定義
Goo 發行
在多個 Gobbler NFT 之間優化 Goo 生產
Goo 保持優化
多個 Gobbler NFT 的 Goo 代幣生產
激勵
代碼
總結
當 NFT 項目擁有一種可替代(ERC-20)代幣時,持有 NFT 和 代幣的社區往往會隨著時間的推移而分道揚鑣。我們創建了一種機制來抑制這種分歧,并在分歧發生時修復它。我們稱之為漸進所有權優化,或 GOO。
在我們即將推出的 NFT 項目 Art Gobblers 當中,其 NFT 可生產一種名為 Goo 的以太坊代幣。一個 Gobbler NFT 地址持有的 Goo 代幣越多,它生成的 Goo 代幣就越快。這意味著 Goo 代幣的總供應量每天都會加速增加,從數千增加到數百萬甚至更多。

在不擁有任何 Gobbler NFT 的情況下囤積 Goo 代幣,這是一種非常糟糕的策略,因為其他人都會生成 goo 代幣,而你在 Goo 代幣總供應量中的份額將迅速減少到零。另一方面,如果你擁有很多 Gobbler NFT,但擁有少量的 Goo 代幣,那么與其他玩家相比,你的 Goo 產量將會落后。
假設你維持 Gobbler NFT 的所有權,其總的 Goo 代幣生產能力為總產量的 1%,并且你從未移除你的 Goo 代幣。那么無論你開始擁有多少 Goo 代幣,你最終至少會得到 Goo 代幣總供應量的 1% !這確保了 Goo 長期保持在 NFT 持有者的控制之下。

韓國金委會擬于本月提交有關證券型代幣制度化的《電子證券法》和《資本市場法》修正案:7月13日消息,韓國金融委員會計劃在本月向議會提交有關證券型代幣制度化的《電子證券法》和《資本市場法》修正案,該法案預計將反映韓國金融委員會在2月份發布的證券型代幣發行和流通規則體系整頓方案,包括修訂資本市場法和電子證券法,允許發行證券型代幣,并設立與發行和流通相關的賬戶管理機構和場外交易中介業務。[2023/7/13 10:52:04]
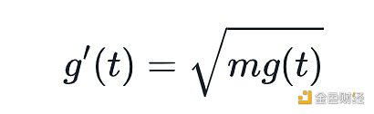
從數學上講,即時的 Goo 發行量等于

,
其中 mult 是 Gobbler NFT 的乘數,是它生產 Goo 代幣的基本速度,我們使用微分方程自動合成隨時間推移的 Goo 發行量,如果你有多個 Gobbler NFT,也會自動平衡 Goo 的發行量。
在這個系統中,由于一些非常幸運的數學運算,結果表明,擁有多個乘數和為 X 的 Gobbler NFT,與擁有一個乘數為 X 的單個 Gobbler NFT 相同,這意味著,隨著一些玩家獲得更多的 Gobbler NFT,游戲將保持公平。

雖然該機制是專為 Art Gobblers 項目設計的,但它可用于任何具有可替代代幣的 NFT 生態系統。它使 NFT 和代幣持有者保持一致,同時確保 NFT 本身的首要重要性。它也很有趣,尤其是與 VRGDA 等其他機制結合使用時。
在本文中,我們分解了該機制的細節并提供了可用于生產的代碼,以便你可以在自己的項目中使用它。
目前 NFT 項目發行可替代代幣有兩種主要方式:
空投,在某個特定時間點,所有 NFT 持有者都會收到與他們持有的 NFT 數量成比例的可替代代幣數量。
恒定排放,隨著時間的推移,每個 NFT 都會產出大致恒定數量的代幣。
一種恒定排放的方法是質押,NFT 持有者將他們的 NFT 鎖定在合約中,并每天收到一定數量的代幣。
Green Snake 董事長涉嫌參與操縱 Bithumb 股價被韓國檢方逮捕:6月29日消息,韓國首爾南部地方檢察廳逮捕 Green Snake 董事長 Youngsik Won,稱其涉嫌參與 Bithumb 的股價操縱,指控其違反資本市場法和嚴重信托法。
Green Snake 通過投資 Bithumb 最大股東 Bident 及其關聯公司 Bucket Studio 發行的超過 1000 億韓元的可轉換債券(CB)而發家。[2023/6/29 22:09:03]
另一種近似恒定的排放方法是 Play to Earn,擁有或有權訪問給定 NFT 的用戶可以玩游戲,然后每天有可能賺取一定數量的代幣,具體取決于他們的游戲方式。
在這兩種情況下,隨著時間的推移,持有 NFT 的人群與持有可替換代幣的人群可能會變得非常不同。
在空投的情況下,由于一些用戶在不出售其代幣的情況下出售他們的 NFT,而另一些用戶在不出售其 NFT 的情況下出售了他們的代幣,這導致代幣與 NFT 的所有權不一致(指社區分裂),并且不存在使其恢復一致的力量。
即使在恒定排放的情況下,因為可替代代幣以恒定的速率發行,NFT 和可替代代幣所有權實際上不可能隨著時間的推移恢復一致:每天,新發行的代幣在總供應量中所占的比例越來越小。此外,無論你擁有多少可替代代幣,都沒有動力將其與相當數量的 NFT 相匹配,反之亦然。一旦 NFT 和代幣持有者的群體出現分歧,就沒有任何東西可以重新調整他們。
我們希望確保 Goo 純粹是一種功能代幣,而 Art Gobblers NFT 本身仍將是經濟的支柱。我們還希望我們的解決方案非常高效,NFT 社區成員易于理解,最重要的是,使用起來會很有趣。
所有屬于給定以太坊賬戶的 Art Gobbler NFT 都會將 Goo 代幣排放到對應的「tank」 池子中,該地址的所有者可以隨時從 「tank」 池子中添加或移除 Goo 代幣。
Art Gobblers NFT 噴出 Goo 代幣的速度與地址的 「tank」 池子中已經存在的 Goo 代幣的平方根成正比。每個 gobbler 都有自己的 mult 乘數,它描述了噴出 goo 代幣的基本速率。
我們使用微分方程自動復合這種瞬時發行,并對其進行延遲評估,以便復合可以在任意長的時間段內發生,而無需花費任何 gas。
美聯儲本周會議維持利率不變的概率為79.1%:金色財經報道,據CME“美聯儲觀察”:美聯儲6月議息會議維持利率不變的概率為79.1%,加息25個基點的概率為20.9%;到7月維持利率在當前水平的概率為26.1%,累計加息25個基點的概率為59.9%,累計加息50個基點的概率為14.0%。[2023/6/13 21:33:06]
Goo 代幣會隨時間呈二次方膨脹,這比大多數代幣質押方案常見的指數膨脹要慢得多。
當 Goo 代幣與用戶的 Gobbler NFT 成比例持有時,Goo 代幣發行可處于最佳狀態,因此規則激勵用戶按比例持有 Goo 代幣和 Gobbler NFT。由于 Goo 代幣排放的總體速率一直在增加,所以無論 Goo 已經發行了多少,這些激勵措施仍然很強大。
由于一些非常幸運的數學運算,擁有多個乘數和為 X 的Gobbler NFT ,和擁有一個乘數為 X 的 Gobbler NFT 等效,即使某些用戶積累了大量 Gobbler NFT,也能確保系統保持公平。
mi - Gobbler i 的 Goo 代幣排放乘數。
gi (t) - Gobbler i 的 「tank」 池子在時間 t 時的 Goo 代幣數量。
initial Goo i - Gobbler i 在最初擁有多少 Goo 代幣。
為了方便起見,我們將使用 gi (t)、m 以及 initial Goo,僅指單個 Gobbler,而沒有下標 i。
Art Gobblers 以

的速率釋放 Goo 代幣。
我們選擇平方根發行是為了確保 Gobbler NFT 比 Goo 代幣更基礎,你添加到給定 Gobbler 「tank」 池子的 Goo 代幣越多,每個新 Goo 單位的效用就越少。這意味著用戶無法通過在單個 Gobbler 的 「tank」 池子中放置大量 Goo 代幣來賺取同等比例的 Goo 代幣。
例如,在時間 1 時,如果 m 為 2,并且 g (1)為 2,則即時的 Goo 代幣發行速度會是每天
Horizen Labs Ventures (HLV) 與0N1 Force建立戰略合作伙伴關系:金色財經報道,據0N1 Force在社交媒體宣布,該NFT項目已與Horizen Labs Ventures (HLV) 建立戰略合作伙伴關系,以探索新機會并推動增長,HLV將為其提供代幣發布、NFT開發、元宇宙參與、DAO創建和可持續DAO治理等支持。Horizen Labs Ventures (HLV)是Horizen Labs旗下風投機構,后者是主持創建ApeCoin質押系統的區塊鏈基礎設施公司,其客戶包括Yuga Labs、ApeCoin DAO、The Sandbox、Animoca Brands等。[2023/5/5 14:44:04]

個 Goo 代幣。
用數學表示,我們有了以下微分方程:

解之得

展開后,我們得到:

注意:為了方便起見,我們假設時間總是從 0 開始,而在生產中,必須跟蹤自上次與合約交互以來經過的時間。
想象一下,你有 4 個 Goo 代幣以及 2 個 Gobbler NFT,其中一個 NFT 的乘數為 1,另一個的乘數為 3。
你想決定如何在它們之間分配你的 Goo 代幣,以最大限度地提高你的 Goo 代幣生產速率。
如果你必須將所有的 Goo 代幣存入一個 Gobbler NFT 的池子中,顯然最好將其放入乘數為 3 的 Gobbler NFT 池子當中,此時 Goo 代幣的即時生產率為

Curve新增multiBTC/WBTC/sBTC池:金色財經報道,Curve新增multiBTC/WBTC/sBTC池,并發起為該池添加流動性激勵的提案投票。
據悉,multiBTC是通過Multichain從比特幣網絡跨鏈至以太坊的比特幣封裝資產。[2022/12/18 21:52:05]
然而,在 Gobbler NFT 之間平均分配你的 Goo 代幣會表現地更好,這樣做的即時生產率為

。
但事實證明我們可以做得更好。對于任何具有乘數為 mi 的 Gobbler NFT 組,事實證明,在它們之間分配 Goo 代幣的最佳方法,是將總的 Goo 代幣的

分配給每個 NFT。
在這種情況下,我們將分配

個 Goo 代幣給第一個 Gobbler NFT,將

個代幣給第二個 Gobbler NFT,那么總的 Goo 代幣即時生產率為

如果用戶必須不斷地在多個 Gobbler NFT 之間重新平衡他們的 Goo 代幣以保持最佳的生產率,這將是一個有趣但不是特別有用的結果。
幸運的是,一旦平衡,Gobbler 就會保持平衡!要了解原因,請注意,根據定義,在平衡時,

為了方便,我們引入一個新常數

,我們得到

并將其代入上述 gi (t) 的定義中,我們得到

進行簡化

因為這對所有 i 都是正確的,我們看到,無論 t 的值如何,Goo 代幣都會與其乘數成比例地分布在 gobbler NFT 之間,這正是我們保持最佳 Goo 生產所需的條件。
這意味著我們可自動為用戶平衡一次 Gobbler NFT 之間的 Goo,并且它們將保持平衡。
即便如此,如果 Goo 生成率復雜或難以理解,整個系統也不會特別令人滿意或有趣,用戶可能不知道如何與之交互。
幸運的是,情況并非如此。結果表明?,當 Goo 在具有乘數 mi 的 Gobbler NFT 之間最佳平衡時,總的 Goo 代幣產出速率與單個具有

乘數的 Gobbler NFT 的 Goo 代幣產出速率相同。
換句話說,乘數和為 100 的多個 Gobbler NFT,與單個乘數為 100 的 Gobbler NFT,它們的 Goo 代幣產出速率是相同的。
回到上面的例子,我們可以手動驗證是否是這種情況。當我們用乘數為 1 和乘數為 3 的 2 個 Gobbler NFT,并在它們之間平衡 4 個 Goo 代幣時,并且實現速率為 4 的即時 Goo 代幣產出速率,這和將 4 個 Goo 代幣存放在單個乘數為 1+3 =4 的 gobbler nft 池子中的情況相同,其輸出的即時 Goo 代幣產出速率為

。我們可以看到,如果我們有四個 Gobbler NFT,并且它們的乘數都為 1,則總的 Goo 代幣產出速率為

最終結果就是,擁有幾個乘數和為 10 的 Gobbler NFT,與擁有一個乘數為 10 的 Gobbler NFT 是相同的。這是非常直觀且幸運的,因為用戶可以簡單地操作,而不需要通過改變錢包之間的 Gobbler NFT 分配來操縱 Goo 代幣的生產速度。
由于 Goo 代幣的數量是呈二次方的速度膨脹的,所以持有它而不持有 Gobbler NFT 是一個嚴重的錯誤決策,因為你不會產生任何新的 Goo 代幣,并且你在整體 Goo 代幣供應中的比例將迅速減少。
此外,我們可以從上面的自動平衡部分看到,當 Goo 代幣按 mult 乘數比例分配時,整個生態系統中的 Goo 產量達到了最佳速率。因此,如果你有很多 Gobbler NFT,但只有很少的 Goo 代幣,你的 Goo 代幣產量將落后于市場水平,你將被競爭對手擊敗。因此,用戶被激勵保持其 Goo 代幣和 Gobbler NFT 持有量大致一致。
更正式地說,假設你擁有一個總乘數為 M 的 gobbler NFT 集合,如果你從未移除任何的 Goo 代幣,那么根據 g(t)的定義,我們可以看到,最終你的 Goo 代幣供應將大約等于

假設所有 Gobbler NFT 的乘數總和為 Q。如果 Goo 代幣在所有其他 Gobbler NFT 之間完全平衡,則最終他們的 Goo 代幣供應量將大約等于

,所以 Goo 代幣的總供應量將為

。而你的比例將是 M/Q,也就是你的 Gobbler NFT 總乘數所占的比例。
如果 Goo 代幣在其他 Gobbler NFT 之間沒有完美平衡,那么你在 Goo 代幣總數中獲得的比例,實際要大于你的 NFT 總乘數所占得的比例。
當然,只有當總乘數隨時間保持恒定時,才會出現這種情況,這可能與系統其余部分的工作方式無關。否則,你可能必須采取措施確保你在總乘數中的份額保持不變。
你可以在 transmissions11/goo-issuance? 找到高度優化、生產就緒的 GOO 實施代碼,歡迎有改進的拉取請求。
GOO 是為 Art Gobblers 項目設計的,但我們相信它適用于各種 NFT 項目和鏈上游戲。如果你想通過 NFT 發行一種可替代的代幣,同時確保用戶持有的 NFT 以及代幣大致成比例,那么 GOO 代幣模型可能就適合你。
如果你有興趣將 GOO 集成到你的項目中,我們很樂意聽到你的消息。
致謝:samczsun,Riley Holterhus,Aaru,Otto Suwen,0xmisaka,NN Blossoms,DCFPascal,kootsZhin,snoopy,Ben Leimberger,shant,0xQTpie
隔夜的粥
個人專欄
閱讀更多
DeFi之道
財經法學
成都鏈安
金色早8點
Bress
鏈捕手
PANews
Odaily星球日報
作者:周舟 “我們要制定Web3(基于區塊鏈的下一代互聯網)的國際規則,不然幾十年后子孫輩們就會像現在(芯片、操作系統等)一樣被人掐脖子。”一名正在參與制定國內區塊鏈技術標準的人員表示.
1900/1/1 0:00:00原文作者: ?Raho 本文來自 Messari Governor 團隊兩名分析師 Raho 和 Tnorm對OP治理激進的觀察,OP采用的是委托投票治理模式.
1900/1/1 0:00:00經過接近 7 個月的等待,10000 個 8liens 終于全體「降落」在了以太坊主網。僅僅 3 天多的時間,8liens 的成交量已突破 3000 ETH,成功刮起了「外星人風暴」.
1900/1/1 0:00:00本文為Vitalik于9月20日在其博客發表的關于DAO的文章最近,關于高度去中心化的DAO行不通的觀點有很多討論,為了保持競爭力,DAO治理最開始應該更接近于傳統公司的治理.
1900/1/1 0:00:00原文標題:《MakerDAO 的危與機:虧損、監管風險和 MetaDAO 的救贖》 撰文:蔣海波 DeFi 協議的真實情況可能并不像表面數據那樣光鮮亮麗.
1900/1/1 0:00:00撰文:周舟 來源:虎嗅 APP 「我們要制定 Web3(基于區塊鏈的下一代互聯網)的國際規則,不然幾十年后子孫輩們就會像現在(芯片、操作系統等)一樣被人掐脖子.
1900/1/1 0:00:00