BTC/HKD+1.68%
ETH/HKD+2.86%
LTC/HKD+0.79%
ADA/HKD+1.22%
SOL/HKD+2.02%
XRP/HKD+1.87%整理 | NESTFANS.ZHIYU
出品?| NEST愛好者(nestfans.com)已獲各鏈接原作者同意
引言:NEST Protocol 是一個去中心化的預言機網絡,即將轉型成為一個非合作博弈系統,為區塊鏈世界通過非合作博弈的方式提供無需許可,可被任何人驗證的價格信息流。基于這一價格信息流,可以開發很多有價值的金融產品。可計算金融 CoFiX ,便是基于 NEST Protocol 的第一款金融產品。
CoFiX 簡介
CoFiX 由?Coinbase Ventures 、Huobi DeFi Labs、Dragonfly Capital 和 眾多天使投資人投資,開發團隊包括?AlphaWallet 、安比實驗室、白皮書作者博弈論研究專家 Zaugust?等。
自 2020 年 10 月份上線以來,初始 LP 便達到過億美金的體量,CoFiX 協議收益累計達6000?多枚 ETH ,分配給所有持有 CoFi Token 的鎖倉愛好者 20% ,現仍有?5000?多枚 ETH ,存放在收益池。
具體發展過程事件請看《CoFiX 回顧與展望 V2.0即將登場》。
CoFiX 1.0 被定義為可計算金融,即一個可以利用 NEST Protocol 提供的鏈上價格信息流,對風險管理進行計算,實現有效對沖的DeX,具體可看《CoFiX 白皮書》:https://mp.weixin.qq.com/s/pptkhlldqYe2iwZcpuQ9qQ
CoFiX 2.0 系統性升級
Moonbirds:Diamond Nest Reshuffle空投已完成:金色財經報道,NFT項目Moonbirds在社交媒體宣布Diamond Nest Reshuffle空投分配已完成,允許Diamond Exhibition NFT所有者將其重復的 NFT 換成新的 NFT。對于擁有不止一個鑄造通行證的用戶,Diamond Exhibition NFT的隨機化存在問題,因此Moonbirds創建了一個新合約,以允許用戶將副本換成其他NFT。[2023/5/12 14:58:53]
發展過程和實踐過程是緩慢和困難的,在延續 CoFiX 1.0 理念的基礎上,通過對各類交易模型以及智能合約開發的深入研究,我們看到 CoFiX 2.0 做出了重大調整,在提煉真實需求、提高資金利用率、提升 CoFi Token 價值捕獲能力等方面持續深耕,下面請看 CoFiX 2.0 協議升級文檔。
MEDIUM 英文原文鏈接:https://medium.com/cofix/cofix-v2-0-upgrade-document-5c8972919baa
CoFiX2.0協議升級文檔
關于對沖
CoFiX 1.0 要求 LP 進行完美對沖的處理,這里存在幾個問題:首先是大部分 LP 不清楚如何對沖,或者做不到自動對沖,其次是對沖依然存在一定的成本,比如 0.002 的手續費等等,而且對沖需要額外準備一定的資產在交易所或對沖渠道內。這對 LP 提出了一定的挑戰,在市場不那么有效的情況下,對沖的隱性成本不低。因此我們 2.0 擬引入套利對沖的思路。
Cumberland否認對Genesis債權達1800萬美元,未清余額約為4.6萬美元:1月20日消息,加密貨幣交易公司Cumberland DRW對Genesis Global Capital的金額提出異議,Genesis Global Capital稱其欠Cumberland 1800萬美元。
Cumberland DRW表示,將其列入破產申請中描述為“誤導和不正確的信息”,未清余額約為46,064.34美元,沒有從Genesis進一步借款,也沒有額外的風險敞口。
此前消息,Genesis欠主要債權人共計38億美元,包括Gemini、Mirana、Decentraland、VanEck等。[2023/1/21 11:24:15]
套利對沖
套利對沖要求交易對的資產比例保持恒定,比如交易對 ETH/USDT 初始資產比例為 1:500 即1 ETH = 500 USDT,并要求整個池子在運作的過程中一直保持這一比例(做市商加入的時候需要按照初始比例打入雙向資產),一旦交易者破壞了這個比例,則給與反向交易到初始比例的交易者一定的激勵,且該激勵隨著時間推移不斷加強,直到這些交易者能夠覆蓋對沖成本為止。交易者這一操作叫做套利對沖。
對沖挖礦算法
對沖挖礦算法和 CoFix 1.0 相比,差異在于不再針對每一筆交易進行挖礦獎勵,而是對套利對沖行為進行激勵,激勵的算法如下:
定義:第 t 次交易后池子內 ETH 數量為

Bernstein報告:灰度比特幣信托將受到保護免受Genesis危機影響:金色財經報道,Bernstein在一份研究報告中表示, Genesis Global Capital停止提款的情況并不直接影響灰度比特幣信托(GBTC),即使 Genesis 無法為其借貸賬簿籌集流動性并申請破產,債權人也無法對 GBTC 資產提出索賠。
該報告稱,市場擔心灰度(Grayscale)可能“被考慮作為災難發生時的戰略選擇”,但分析師認為,即使在最不利的情況下,DCG也寧愿保留灰度而不是 Genesis 的業務。據 Bernstein 稱,灰度是 DCG 的“旗艦業務及其搖錢樹”,每年產生約3億美元的費用收入。分析師Gautam Chhugani和Manas Agrawal稱,GBTC 的信托結構保護其持有人,并在DCG或DCG Group實體內部避免出現故障。[2022/11/22 7:53:37]
, ?USDT 數量為

?, 第 t 次交易的價格為

?,即以USDT 計算的 ETH 價格
1)?第 t 次交易后池子資產比例為:

DeFi 明星項目NEST 24小時漲幅超40%:6月29日,據Bibox官網數據顯示,NEST/USDT的24小時漲幅超40%,最高漲至0.026美元。據悉,Bibox聯合NEST線上AMA將于今晚19:00于社群內進行。[2020/6/29]
其中:

?為池子資產初始比例。
2)交易挖礦公式

公式注釋:
①?

?為 t 時刻總的交易出礦量,

?為 t 時刻單筆交易的出礦量。
②?

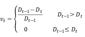
?為每一單位 ETH 標準出礦量為,當前

丹華資本Dovey Wan:圖靈獎得主John Hennessy正在鉆研區塊鏈:23日中午,丹華資本Dovey Wan在微信群分享關于區塊鏈的觀點。她說:“今年圖靈獎得主John Hennessy當年同一個系的同事,分布式系統大神,現在正在認真專研區塊鏈,因為區塊鏈作為技術本身,密碼學(特別是asymmetric cryptography)+ distributed system 存在了幾十年了,這些正規軍入場會大舉加速行業的進步,這個是我覺得硅谷偉大的地方,就是有一批對技術追求純粹的人。”[2018/3/23]
③?

?為 t 時刻?

?調整為?

??時所需要的 ETH?交易規模,其公式為:

④?

? 為 t 和 t-1 筆交易的區塊間隔。
⑤?

?為單筆交易的出礦系數, 其計算公式為:

交易出礦量的分配:
1)交易出礦量?

?的 10%?流向節點礦池。
2)90% 歸該筆交易者。
做市出礦
1、池子 NEST/ETH ?每個區塊出 3 個?CoFi;
2、ETH/USDT 出 1 個?CoFi
3、ETH/HBTC 出 1 個?CoFi
做市出礦量的 10% 流向 cn?節點,其他的分給做市商。
做市商份額計算和提取
做市商是按照初始比例?

??打入雙邊資產,因此份額計算比較簡單,按照打入的
ETH計算即可。而每一份的凈值,按照以下公式計算:

其中?

?為池子總份額,

?為未經過 K 值的 NEST 有效價格,提取資產按照?

?的比例返回雙邊資產,如果余額不夠則返回最大可提取的份額。
DAO 的治理
DAO 治理主要是針對以下內容:
1.?代碼修正和升級:
前期采用多簽,后期逐漸轉向投票,核心是投票的標準,目前 NEST 采用51%,及約定生效期(比如 5 天,詳細可以參考 NEST 投票)投票方式和 NEST 投票一致。
2.?可挖礦資產的確定和分配:
這一部分是 DAO 最重要的部分,投票生效的標準
1)?確定挖礦的資產,其傭金進入分紅合約,標準要完全明確,最好是鏈上可證,否則要求合約在挖礦和非挖礦之間切換足夠流暢且無矛盾
2)?不挖礦的資產,傭金直接進入資產池(暫無自動對沖算法,未來可能增加折扣銷售功能來自動對沖)
3)?投票比例需要認真設計,這塊目前還沒有完全確定
3.?DAO 賬戶的管理:回購(此次升級取消分紅)
1)DAO 賬戶持有兩種資產:CoFi 和 ETH
2)DAO 賬戶的功能
回購:任何人可以按照 NEST 預言機的?CoFi?價格,向 DAO 出售?COFI。
3)DAO 賬戶的執行
回購操作:任意?CoFi?持有人 A,可以按照以下規則將?CoFi?打到 DAO 賬戶并獲得 ETH:
回購價格:NEST 預言機報價?CoFi
回購規模:每個區塊釋放?50 CoFi?回購額度,隨區塊累加,累計到 300 區塊不再增加(需有人回購一部分后繼續釋放至最多 300 區塊的總量)
回購約束:NEST 預言機里 CoFi?當前價格和均價相差超過 5% 時,不可以回購
回購后?CoFi?去向:暫存等待未來銷毀
每次操作回購,會調用預言機數據,回購者需要支付調用費。
升級的安排
未來 CoFiX 的升級,希望能做到以下原則:
1.?資產池不變,避免取出重新存入這樣的操作
2.?先部署,后觸發
3.?社區有一個升級的流程,并經過了驗證和訓練
K值的計算

1、??

?為秒級波動率
2、?T 為時間延遲:T=(打包成功區塊高度-最近有效NEST價格所在區塊高度)* timespan

?的公式如下:

結語
CoFiX 2.0 的升級不僅對 DeX 賽道而言是一次創新突破,對于 NEST Protocol 非合作博弈系統來講,更是在證明價格信息流的應用價值。去中心化協議的發展是艱難的,在秉承區塊鏈本質發展的同時,要以客觀、理性、發展的眼光看待事物,期待 CoFiX 2.0 。
就像內容行業從報紙、收音機,到現在的視頻形式,任何行業的巨大變革,歸根結底都是技術上的演變所致。同樣,金融行業也是如此.
1900/1/1 0:00:00原標題:DeFi 新玩法丨 Instadapp 公布 DeFi 智能層(DSL)和代幣發行計劃,實現人人皆可「DeFi」「去中心化資產管理協議 Instadapp 公布了新的升級計劃.
1900/1/1 0:00:00DeFi流動性挖礦火爆一時,吸引了大量投資者參與。為了方便投資者及時了解DeFi挖礦項目的相關信息和挖礦流程,金色財經推出了“金色說明書”系列挖礦教程.
1900/1/1 0:00:00Autumn(秋收)是 Heco 火幣生態鏈上的綜合型項目,主打四大板塊為聚合收益、跨鏈橋、穩定幣和預言機。目前已經上線聚合收益和跨鏈橋兩個板塊.
1900/1/1 0:00:00Firo 采用新隱私支付協議 Lelantus,它確保交易的保密性和匿名性,且交易規模小、驗證時間短、不需要預信任機制.
1900/1/1 0:00:00注冊FTX賬號,即刻享受5%終生手續費折扣:https://ftx.com/#a=2021dc 活動日期: 新加坡時間 2021年2月22日 下午6點 - 2021年3月1日 下午6點 活動詳情.
1900/1/1 0:00:00