BTC/HKD-1.23%
ETH/HKD-0.66%
LTC/HKD-0.65%
ADA/HKD-2.61%
SOL/HKD-1.23%
XRP/HKD-0.87%本文源于十四正在撰寫的《UniSwap從V1到V3的去中心化交易所之路》中用作資料援引,也發現市面文章的推導公式都頗為復雜,且重要邏輯轉換缺乏描述,而無常損失又是Dex中AMM的重要部分,故單獨成文。如讀者對無常損失以及對應影響有興趣的,亦可直接跳轉文末閱讀白話版本。本文推導基于AMM經典恒積公式

AMM機制簡介可閱讀:一文講清-NFT市場新秀SudoSwap的AMM機制-創新挑戰與局限部分公式中虛線系公式編輯器誤操作,無實際意義如需word源文檔可在公眾號后臺回復“無常損失”獲取Part1:計算初始持有價值
假定我持有若干e0(ETH)以及若干t0(Token),初始兩者價值相等,如1e0=10t0,用公式表達其token的價格則p0為:

網信辦:加強對《區塊鏈信息服務管理規定》等法規規章的宣傳解讀:金色財經報道,中央網絡安全和信息化委員會辦公室印發《網信系統法治宣傳教育第八個五年規劃(2021-2025年)》,其中指出要加強對《關鍵信息基礎設施安全保護條例》《互聯網信息服務管理辦法》《互聯網新聞信息服務管理規定》《區塊鏈信息服務管理規定》等法規規章的宣傳解讀。[2021/11/18 6:57:19]
則我持有的總價值等于數量*價格為:

如果未進行Uniswap注入Lp的行為,則未來即使token對比Eth的價值變動,產生了新的價格,則我介時的資產總值VH為:

Part2:為UniSwap注入流動性
我們可以將ETH和代幣兩者按一定比例注入流動性,這里方便計算假定為按總值各占50%的注入,流動性池會給我們Lp的憑證,如10個LpToken用于證明我們占據當前總流動性的分紅權益股份。由于恒積公式,只有注入和抽離LP會改變K值
動態 | “Ripple取消OTC交易模式”疑似為解讀錯誤,官方尚未宣布此消息:金色此前報道,推特賬戶XRP Research Center今日發推稱:“Ripple將不再支持OTC模式的代幣買賣,即機構購買者想要購買XRP同樣需要在二級市場上購買XRP。經金色查詢,目前Ripple官方目前還未發出取消OTC交易模式的公告。Twitter中提到的交易很有可能是在9月25日Bittrex與UPbit的合作關系破裂之后,雙方之間進行的正常資金返還。[2019/10/30]

所以可以推導出計算當前e1的數量公式:

最終

動態 | 紐交所為Bakkt測試舉行啟動儀式 外媒解讀此舉表明監管機構已為Bakkt開綠燈:據Trustnodes消息,比特幣結算期貨平臺Bakkt將于7月22日開始測試。7月18日,紐約證交所(NYSE)董事會已舉行比特幣結算期貨啟動儀式。區塊鏈投資基金Pantera Capital首席執行官Dan Morehead表示在Bakkt數字資產峰會(Bakkt Institutional Digital Asset Summit)上表示:“我們坐在紐約證交所的董事會會議室里——這是比特幣的第一次。”Trustnodes評論稱,到目前為止,峰會沒有取得什么成果,也不清楚是否有媒體受邀,但此次活動的舉辦表明,經過數月的漫長過程,Bakkt目前正在推進比特幣期貨的測試工作。Bakkt已經通過自我認證獲得了美國商品期貨交易委員會(CFTC)的批準,經過長時間的談判,舊的規章制度得到了政策上的調整。[2019/7/20]
如此綜合計算我們可以提取的流動性價值VU是

聲音 | EOS pacific創始人解讀EOS憲法2.0:刪減多條目是為仲裁機構減輕壓力:今天,EOS pacific創始人王棟在引力生態峰會上表示,BM推出的憲法2.0版最核心的有以下幾個方面:
1、CODE IS LAW。所有的法律都應代碼化,即使代碼有BUG。
2、BM進一步詮釋合約,把整個合約清晰定義。如果各方理解有不同,才需要仲裁員出現。仲裁機制主要的工作范圍已經大幅度縮小。
3、私鑰的丟失是個人的責任,不是通過仲裁可以解決的問題。
4、在智能合約定義的范圍內,仲裁能冷凍Token的轉移。
王棟還表示,EOS憲法從1.0版的20條減到9條,把很多東西去掉,就是讓Token不要根據自己對憲法的理解套用自己的情形,無限的給仲裁機構施加壓力。[2018/7/15]
此處得出VU的將構成后續無常損失部分的被減數,因此特地為VU推導了上訴的兩個采用e1以及不采用e1的公式Part3:無常損失公式推導
依據Part1我們得出了保持持有當前token的價值VH,依據Part2我們得出了不用持有而是投入Uniswap做LP的總價值VU,顯而易見:Divergenceloss應該是VD
韓國強監管信號解讀:政府尚未形成統一意見:金色財經獨家采訪了韓國幾大主流交易所負責人,他們向金色財經透露本次強監管信號的形成原因。其中提到,由于韓國近期比特幣價格高于其他國家交易所,促使更多投機者進入韓國市場搬磚,這加大了外匯場外交易風險,為防止某些換匯公司鋌而走險進行違法行為,故發布了此條公告。同時,據韓國相關人士透露,政府不同機構對加密貨幣的立場不一,法務部對加密貨幣態度最嚴格,其他政府部門雖強調了加密貨幣監管的重要性,但仍對其持開放態度。因此有專家認為,韓國政府部門的意見不統一,不會立即出臺強監管政策。[2017/12/28]

由于價值漲跌應該依據其對于原始價值的比值,所以我們把等式兩邊都除以VH

此處帶入上文Part1和2結論中的VH與VU詳細公式

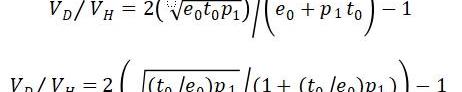
所以無常損失率VD/VH為:

這時最關鍵的一步,無常損失發生在有價格差的兩個時間段上,所以我們來帶入價格的變化率R,其等于兩個時間的價格相除

結合Part1中的公式

所以R也等于

結合無常損失率VD/VH我們將核心部分都乘以e0來形成只有R的最終公式

這樣則可以化簡出只有R來表示的無常損失率

由于最終無常損失率值和R值有關系,則也意味著只要R有變動,無論增加還是減少,都將產生無常損失,并且按倍數衡量是一個對等的數值Part4圖表化無常損失公式
我們可以通過繪圖工具來呈現這個公式的結果,雖然下圖看似是一個非對稱的曲線,但實際上是對稱的,因為他是一個相對的倍率,即對于原價值的1ETH=100Dai而言,跌到1ETH=50Dai是下跌1倍,等于漲到1ETH=200Dai則是上漲1倍,其無常損失是相同的均為5.72%


如何理解無常損失?無常是什么意思?首先他是命名不恰當,之前選擇“無常”這個詞是因為如果價格背離被逆轉,那么由于價格背離造成的損失也會被逆轉,后來更多的文章會采用來描述他。無常損失在何時發生?如果價格回到與流動性提供者增加流動性時相同的價值,這種損失就會消失。這種損失只有在流動性提供者撤回其流動性時才會實現,并且是基于存款和取款之間的價格差異無常損失會超過導致LP入不敷出嗎?流動性提供者的實際回報,其實是價格差異造成的背離損失與交易所交易的累計費用之間的平衡。

如上圖,該賬戶自成為LP以來,與僅持有原始資金相比,該賬戶一直處于凈負頭寸。這是由于在此期間ETH價格變動造成的巨大背離損失。然而,自始至終總費用一直在穩步累積。隨著ETH價格接近提供流動性的價格,大部分損失會被扭轉。無常損失究竟來源何處?向市場提供流動性做LP,即成為做市商,實際上是和市場中的用戶做對手盤。而AMM是被動的和市場中的用戶做對手盤,即當市場中大部分人看好ETH的后續市場,則會用DAI買入ETH,你的流動性池子會被動的增加DAI而減少ETH。所以,提供流動性就代表了總是和市場做反向的操作,總是傾向去持有更多的弱勢資產。于是當ETH上漲,你的流動性會不斷提前拋出ETH,而拿到更多的DAI,這些被提前拋出的\nETH就成了無常損失的來源,即這個時候無常損失可以理解為你在ETH上的踏空損失,或者是被外部套利者拿走了池內的價值。相關資料https://uniswap.org/whitepaper.pdfhttps://pintail.medium.com/understanding-uniswap-returns-cc593f3499efhttps://pintail.medium.com/uniswap-a-good-deal-for-liquidity-providers-104c0b6816f2https://hackmd.io/@HaydenAdams/HJ9jLsfTzhttps://github.com/Dapp-Learning-DAO/Dapp-Learning/blob/main/basic/13-decentralized-exchange/uniswap-v1-like/README.md歡迎你從公眾號后臺留言作者探討web3行業問題點贊關注十四,用技術視角帶給你價值
Tags:ETHSWAPARTUniswapeth價格今日行情人民幣DecaSwapNFTART價格uniswap幣為什么漲不起來
最有價值的Alpha存在于鏈上,所以在這篇文章中,我將介紹鏈上發生的一些事情:風險資本家的活動獨特合約部署清算水平最高余額變化CEX流出所有這些都可以通過免費工具進行分析.
1900/1/1 0:00:00會議成員 主持人:Jesse,Biteye內容組長嘉賓:Cora,PolygonHeadofChinaLeo,StarkNet中文核心貢獻者Todd.
1900/1/1 0:00:00Odaily星球日報譯者|念銀思唐美國一系列針對加密貨幣行業的調查正促使遭受重創的數字資產公司將目光投向海外金融中心,這給美國作為該行業基石的地位蒙上了陰影.
1900/1/1 0:00:00Web3或將成為未來十幾年中最大的時代機遇,國內外大廠如百度、谷歌、微軟等紛紛布局Web3,而個人又該如何把握Web3的機遇呢?闖蕩加密之旅充滿荊棘又前途未卜,入場Web3機遇亦是挑戰.
1900/1/1 0:00:001月20日,據法庭文件顯示,機構加密貨幣借貸經濟公司GenesisGlobalHoldco及其兩家貸款業務子公司GenesisGlobalCapital.
1900/1/1 0:00:00近日,加密分析公司TokenUnlocks發布《2022年度報告》,其中回顧了2022年加密貨幣行業并對2023年的市場進行了分析展望.
1900/1/1 0:00:00